精英家教网 > 高中数学 > 题目详情

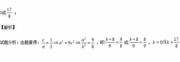
若椭圆 的离心率,则的值为 .

练习册系列答案
相关习题

科目:高中数学 来源:2015-2016学年浙江省温州市十校联合体高一上学期期中考试数学试卷(解析版) 题型:填空题

方程有两个不相等的实数根,则的取值范围是

查看答案和解析>>

科目:高中数学 来源:2015-2016年湖北武汉华中师大一附高二上期中文科数学卷(解析版) 题型:填空题

在平面直角坐标系中,已知圆上有且仅有三个点到直线的距离为1,则实数的值为____________.

查看答案和解析>>

科目:高中数学 来源:2016届河北省高三上学期四调文科数学试卷(解析版) 题型:填空题

某几何体的三视图如图所示,则该几何体的体积为

查看答案和解析>>

科目:高中数学 来源:2016届河北省高三上学期四调理科数学试卷(解析版) 题型:选择题

已知三棱锥两两垂直且长度均为,长为的线段的一个端点在棱上运动,另一个端点内运动(含边界),则的中点的轨迹与三棱锥的面所围成的几何体的体积为( )

A. B. C. D.

查看答案和解析>>

科目:高中数学 来源:2015-2016学年吉林省高二11月月考理科数学卷(解析版) 题型:填空题

若椭圆 的离心率,则的值为 .

查看答案和解析>>

科目:高中数学 来源:2015-2016学年湖北武汉华中师大一附高一上期中数学试卷(解析版) 题型:选择题

这三个函数中,当时,使

恒成立的函数的个数是 ( )

A.个 B.个 C.个 D.

查看答案和解析>>

科目:高中数学 来源:2016届江苏省高三上学期周练数学试卷(解析版) 题型:填空题

若点满足约束条件,且点所形成区域的面积为12,则实数的值为

查看答案和解析>>

科目:高中数学 来源:2015-2016学年山西省太原市高二12月月考数学试卷(解析版) 题型:选择题

命题“若,则”的否命题是( )

A.若,则

B.若,则

C.若,则

D.若,则

查看答案和解析>>

同步练习册答案