精英家教网 > 高中数学 > 题目详情

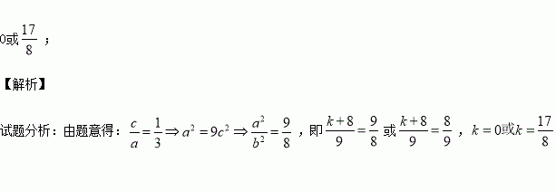
若椭圆 的离心率,则的值为 .

练习册系列答案
相关习题

科目:高中数学 来源:2015-2016学年浙江省温州市十校联合体高一上学期期中考试数学试卷(解析版) 题型:选择题

如果,那么正确的结论是

A. B. C. D.

查看答案和解析>>

科目:高中数学 来源:2016上海复旦大学附中届高三上期中文科数学试卷(解析版) 题型:选择题

设集合的两个非空子集,如果存在一个从的函数满足: 对任意时,恒有,那么称这两个集合“保序同构”.以下集合对不是“保序同构”的是( )

A、

B、

C、

D、

查看答案和解析>>

科目:高中数学 来源:2016届河北省高三上学期四调理科数学试卷(解析版) 题型:解答题

(本小题满分12分)

已知四棱锥的底面是菱形,交于点,分别为的中点.

(1)求证:平面

(2)求直线与平面所成角的正弦值.

查看答案和解析>>

科目:高中数学 来源:2015-2016学年吉林省高二11月月考文科数学卷(解析版) 题型:填空题

若椭圆 的离心率,则的值为 .

查看答案和解析>>

科目:高中数学 来源:2015-2016学年湖北武汉华中师大一附高一上期中数学试卷(解析版) 题型:解答题

某自来水厂的蓄水池有吨水,水厂每小时可向蓄水池中注水吨,同时蓄水池又向居民小区不间断供水,小时内供水总量为 吨,其中

(Ⅰ)从供水开始到第几小时,蓄水池中的存水量最少? 最少水量是多少吨?

(Ⅱ)若蓄水池中水量少于吨时,就会出现供水紧张现象,请问:在一天的小时内,大约有几小时出现供水紧张现象?

查看答案和解析>>

科目:高中数学 来源:2015-2016学年湖北武汉华中师大一附高二上期中理数学卷(解析版) 题型:选择题

若所有满足的实数x, y均满足

,则的取值范围为( )

A. B. C. D.

查看答案和解析>>

科目:高中数学 来源:2016届湖南省株洲市高三上学期期中文科数学试卷(解析版) 题型:填空题

如图,A是两条平行直线之间的一定点,且点A到两平行直线的距离分别为,设,且顶点B、C分别在两平行直线上运动,则

(1)面积的最小值为

(2)的最大值为

查看答案和解析>>

科目:高中数学 来源:2015-2016学年湖南师大附中高二上学期期中文科数学试卷(解析版) 题型:选择题

下列不等式中成立的是( )

A.若 > ,则

B.若 ,则

C.若 ,则

D.若,则

查看答案和解析>>

同步练习册答案