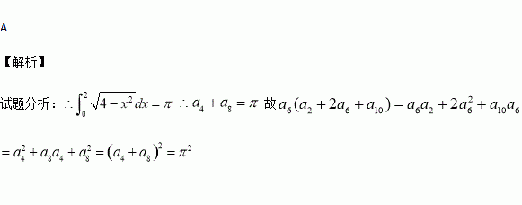
精英家教网 > 高中数学 > 题目详情

已知等比数列,且,则的值为( )

A. B. C. D.

练习册系列答案
相关习题

科目:高中数学 来源:2016届山西省高三上期中文科数学试卷(解析版) 题型:填空题

中,点在线段的延长线上,且,当时,则

查看答案和解析>>

科目:高中数学 来源:2016届贵州市高三上第四次月考理科数学试卷(解析版) 题型:填空题

已知,且函数

(1)设方程内有两个零点,求的值;

(2)若把函数的图象向左平移个单位,再向上平移2个单位,得函数图像,求函数上的单调增区间.

查看答案和解析>>

科目:高中数学 来源:2016届宁夏银川市高三上学期统练三理科数学试卷(解析版) 题型:解答题

甲、乙两地相距千米,汽车从甲地匀速行驶到乙地,速度不得超过千米/时,已知汽车每小时的运输成本(以元为单位)由可变部分和固定部分组成:可变部分与速度(千米/时)的平方成正比,比例系数为,固定部分为元,

(1)把全程运输成本(元)表示为速度(千米/时)的函数,指出定义域;

(2)为了使全程运输成本最小,汽车应以多大速度行驶?全程运输成本最小是多少?

查看答案和解析>>

科目:高中数学 来源:2016届宁夏银川市高三上学期统练三理科数学试卷(解析版) 题型:选择题

是函数的两个不同的零点,且 这三个数可适当排序后成等差数列,也可适当排序后成等比数列,则的值等于( )

A.6 B.7 C.8 D.9

查看答案和解析>>

科目:高中数学 来源:2016届宁夏银川市高三上学期统练三理科数学试卷(解析版) 题型:选择题

在平行四边形ABCD中,下列结论中错误的是 ( )

A.

B.

C.

D.

查看答案和解析>>

科目:高中数学 来源:2016届宁夏回族自治区银川一中高三上第四次月考文科数学试卷(解析版) 题型:解答题

已知过抛物线的焦点,斜率为的直线交抛物线于两点,且

(1)求该抛物线的方程;

(2)为坐标原点,为抛物线上一点,若,求的值.

查看答案和解析>>

科目:高中数学 来源:2016届江西省南昌市高三上第四次考试文科数学试卷(解析版) 题型:填空题

函数,对任意的,总存在,使得成立,则的取值范围为

查看答案和解析>>

科目:高中数学 来源:2016届江西省南昌市高三上第四次考试文科数学试卷(解析版) 题型:选择题

已知满足,则( )

A. B. C. D.

查看答案和解析>>

同步练习册答案