精英家教网 > 高中数学 > 题目详情
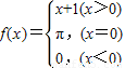
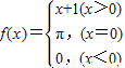
设函数,则f[f(-1)]=( )
A.π+1
B.0
C.-1
D.π
【答案】分析:由函数,知f(-1)=0,由此能求出f[f(-1)].
解答:解:∵函数
∴f(-1)=0,
f[f(-1)]=f(0)=π.
故选D.
点评:本题考查分段函数的函数值的求法,是基础题.解题时要认真审题,仔细解答.
练习册系列答案
相关习题

科目:高中数学 来源: 题型:

设函数f(x)定义在区间[-5,1]上,且在区间[-5,0]上是增函数,在区间[0,1]上是减函数,则f(0)是函数f(x)的最
值(填“大”或“小”).

查看答案和解析>>

科目:高中数学 来源: 题型:

定义:已知函数f(x)与g(x),若存在一条直线y=kx+b,使得对公共定义域内的任意实数均满足g(x)≤f(x)≤kx+b恒成立,其中等号在公共点处成立,则称直线y=kx+b为曲线f(x)与g(x)的“左同旁切线”.已知f(x)=Inx,g(x)=1-
1
x

(I)证明:直线y=x-l是f(x)与g(x)的“左同旁切线”;
(Ⅱ)设P(x1,f(x1)),Q(x2,f(x2))是函数 f(x)图象上任意两点,且0<x1<x2,若存在实数x3>0,使得f′(x3)=
f(x2)-f(x1)
x2-x1
.请结合(I)中的结论证明x1<x3<x2

查看答案和解析>>

科目:高中数学 来源: 题型:

设函数f(x)定义在实数集上,且y=f(x+1)是偶函数,且当x≥1时,f(x)=3x-1,则有(  )

查看答案和解析>>

科目:高中数学 来源:2012-2013学年黑龙江省哈师大附中高一(上)期中数学试卷(解析版) 题型:选择题

设函数,则f[f(1)]=( )
A.0
B.1
C.2
D.3

查看答案和解析>>

科目:高中数学 来源:2010-2011学年重庆市西南师大附中高三(上)第三次月考暨期中数学试卷(文科)(解析版) 题型:填空题

设函数,则f[f(-8)]=   

查看答案和解析>>

同步练习册答案