精英家教网 > 高中数学 > 题目详情

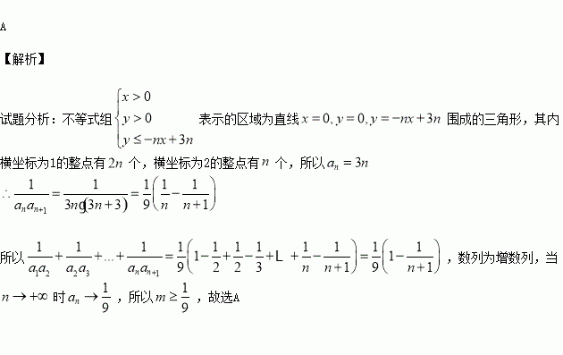
设不等式组所表示的平面区域为,记内的整点(横坐标和纵坐标均为整数的点)个数为,若对于任意的正整数恒成立,则实数的取值范围是 ( ).

A. B.

C. D.

练习册系列答案
相关习题

科目:高中数学 来源:2015-2016学年河南省英文学校高一上学期期中考试数学试卷(解析版) 题型:选择题

三个数的大小顺序是( )

A.

B.

C.

D.

查看答案和解析>>

科目:高中数学 来源:2015-2016学年四川省高一上学期第一学月考数学试卷(解析版) 题型:填空题

已知函数f(x)=则f(f(-4))= ________.

查看答案和解析>>

科目:高中数学 来源:2015-2016学年湖北省宜昌市高一上学期期中考试数学试卷(解析版) 题型:选择题

下列函数中,既是偶函数又在区间(0,+ ∞)上单调递减的是( )

A. B. C. D.

查看答案和解析>>

科目:高中数学 来源:2015-2016学年河北省高一上学期第一次月考数学试卷(解析版) 题型:选择题

设集合,则图中阴影部分所表示的集合是( )

A. B. C. D.

查看答案和解析>>

科目:高中数学 来源:2015-2016学年福建厦门双十中学高二上期中理科数学试卷(解析版) 题型:填空题

已知正数x,y满足,则的最大值为________

查看答案和解析>>

科目:高中数学 来源:2014-2015年河北保定一中高二下第一次段考理数学试卷(解析版) 题型:解答题

(小题满分12分)已知函数在点处的切线的斜率为

(Ⅰ)求实数的值;

(Ⅱ)证明:函数的图象恒在直线的下方(点除外);

(Ⅲ)设点,当时,直线的斜率恒大于,试求实数的取值范围.

查看答案和解析>>

科目:高中数学 来源:2014-2015学年河北省高二上第二次段考理科数学试卷(解析版) 题型:选择题

若直线互相平行,则的值是 ( )

A. B. C. D.

查看答案和解析>>

科目:高中数学 来源:2016届浙江省高三期中文科数学试卷(解析版) 题型:填空题

已知A(1,﹣2),B(a,﹣1),C(﹣b,0)三点共线,其中a>0,b>0,则的关系式为__ ___,的最小值是___ ___.

查看答案和解析>>

同步练习册答案