精英家教网 > 高中数学 > 题目详情

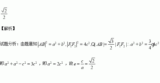
设椭圆的左、右焦点分别为,右顶点为A,上顶点为B,已知,则C的离心率为________。

练习册系列答案
相关习题

科目:高中数学 来源:2015-2016学年湖北省孝感市六校高一上期末文科数学试卷(解析版) 题型:选择题

下列函数是偶函数的是 ( )

A. B. C. D.

查看答案和解析>>

科目:高中数学 来源:2015-2016学年北京市西城区高二上学期期末考试文科数学试卷(解析版) 题型:选择题

在空间中,给出下列四个命题:

① 平行于同一个平面的两条直线互相平行;②垂直于同一个平面的两个平面互相平行;

③ 平行于同一条直线的两条直线互相平行;④垂直于同一条直线的两条直线互相平行.

其中真命题的序号是( )

A.① B.② C.③ D.④

查看答案和解析>>

科目:高中数学 来源:2015-2016学年北京市西城区高二上学期期末考试理科数学试卷(解析版) 题型:选择题

某几何体的三视图如图所示.其中主视图中△是边长为的正三角形,俯视图为正六边形,那么该几何体的体积为( )

A. B. C. D.

查看答案和解析>>

科目:高中数学 来源:2015-2016学年北京市东城区高二上学期期末考试文科数学试卷(解析版) 题型:解答题

已知函数

(Ⅰ)若,求曲线在点处的切线方程;

(Ⅱ)求上的最小值。

查看答案和解析>>

科目:高中数学 来源:2015-2016学年北京市东城区高二上学期期末考试文科数学试卷(解析版) 题型:选择题

甲工厂八年来某种产品年产量与时间(单位:年)的函数关系如图所示。现有下列四种说法:

①前三年该产品产量增长速度越来越快;

②前三年该产品产量增长速度越来越慢;

③第三年后该产品停止生产;

④第三年后该产品年产量保持不变。

其中说法正确的是( )

A. ①③ B. ①④ C. ②③ D. ②④

查看答案和解析>>

科目:高中数学 来源:2015-2016学年北京市东城区高二上学期期末考试文科数学试卷(解析版) 题型:选择题

过点(1,0)且与直线0平行的直线方程为( )

A. B.

C. D.

查看答案和解析>>

科目:高中数学 来源:2015-2016学年北京市东城区高二上学期期末考试理科数学试卷(解析版) 题型:选择题

在平面直角坐标系中,M为不等式组,所表示的区域上一动点,则直线OM斜率的最小值为( )

A. B. C. 1 D. 2

查看答案和解析>>

科目:高中数学 来源:2015-2016学年江西省宜春市高二上期末理科数学试卷(解析版) 题型:选择题

已知可导函数y=f(x)在点处切线为(如图),设F(x)=f(x)-g(x),则( )

A.的极小值点

B.的极大值点

C.的极值点

D.的极值点

查看答案和解析>>

同步练习册答案