精英家教网 > 高中数学 > 题目详情
直线y=x-a与抛物线y2=ax交于A、B两点,若F为抛物线焦点,则△AFB是  ( )
A.锐角三角形
B.直角三角形
C.钝角三角形
D.其形状不能确定
【答案】分析:由题意,可说明∠AFB为钝角,利用向量的知识,只需说明cos∠AFB<0,故问题的解.
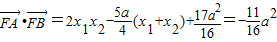
解答:解:设A(x1,y1),B(x2,y2),
将直线y=x-a代入y2=ax,化简得x2-3ax+a2=0,∴x1+x2=3a,x1x2=a2,∴
∴cos∠AFB<0,
故选C.
点评:本题主要考查抛物线的应用.属基础题.
练习册系列答案
相关习题

科目:高中数学 来源: 题型:

已知直L1:2x-y=0,L2:x-2y=0.动圆(圆心为M)被L1L2截得的弦长分别为8,16.
(Ⅰ)求圆心M的轨迹方程M;
(Ⅱ)设直线y=kx+10与方程M的曲线相交于A,B两点.如果抛物y2=-2x上存在点N使得|NA|=|NB|成立,求k的取值范围.

查看答案和解析>>

科目:高中数学 来源:2010-2011年江西省高二下学期第一次月考数学文卷 题型:解答题

(本小题满分13分)

已知双曲线C: =1(a>0,b>0)的离心率为焦点到渐近线的距离为

(1)求双曲线C的方程;

(2)已知直线x-y+m=0与双曲线C交于不同的两点A,B,且线段AB的中点在抛物

线y2=4 x上,求m的值.

 

查看答案和解析>>

科目:高中数学 来源: 题型:解答题

已知直L1:2x-y=0,L2:x-2y=0.动圆(圆心为M)被L1L2截得的弦长分别为8,16.
(Ⅰ)求圆心M的轨迹方程M;
(Ⅱ)设直线y=kx+10与方程M的曲线相交于A,B两点.如果抛物y2=-2x上存在点N使得|NA|=|NB|成立,求k的取值范围.

查看答案和解析>>

科目:高中数学 来源:2010年河南省许昌市长葛三高高考数学调研试卷1(理科)(解析版) 题型:解答题

已知直L1:2x-y=0,L2:x-2y=0.动圆(圆心为M)被L1L2截得的弦长分别为8,16.
(Ⅰ)求圆心M的轨迹方程M;
(Ⅱ)设直线y=kx+10与方程M的曲线相交于A,B两点.如果抛物y2=-2x上存在点N使得|NA|=|NB|成立,求k的取值范围.

查看答案和解析>>

同步练习册答案