精英家教网 > 高中数学 > 题目详情

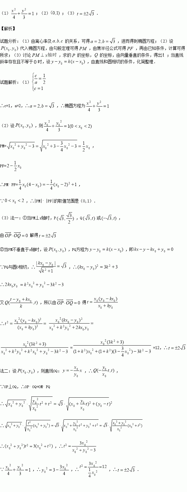
在平面直角坐标系xoy中,椭圆C :的离心率为,右焦点F(1,0),点P在椭圆C上,且在第一象限内,直线PQ与圆O:相切于点M.

(1)求椭圆C的方程;

(2)求|PM||PF|的取值范围;

(3)若OP⊥OQ,求点Q的纵坐标t的值.

练习册系列答案
相关习题

科目:高中数学 来源:2015-2016学年湖南师大附中高二下期中理科数学试卷(解析版) 题型:解答题

如图,在棱长为1的正方体中.

(1)求证:平面

(2)求三棱锥的体积.

查看答案和解析>>

科目:高中数学 来源:2016届安徽省淮南市高三下学期二模理科数学试卷(解析版) 题型:解答题

已知在中,,以为直径的圆,过点作圆的切线交,求证:

(1)

(2).

查看答案和解析>>

科目:高中数学 来源:2016届安徽省淮南市高三下学期二模理科数学试卷(解析版) 题型:选择题

过点引直线与圆相交于两点,为坐标原点,当面积取最大值时,直线的斜率为( )

A. B. C. D.

查看答案和解析>>

科目:高中数学 来源:2016届江苏省高三上学期12月月考数学试卷(解析版) 题型:解答题

已知直线经过点,倾斜角

(1)写出直线的参数方程;

(2)设与圆相交与两点,求点两点的距离之积.

查看答案和解析>>

科目:高中数学 来源:2016届江苏省高三上学期12月月考数学试卷(解析版) 题型:填空题

已知直线ax+by=1(a,b是实数)与圆O:x2+y2=1(O是坐标原点)相交于A,B两点,且△AOB是直角三角形,点P(a,b)是以点M(0,1)为圆心的圆M上的任意一点,则圆M的面积的最小值为______.

查看答案和解析>>

科目:高中数学 来源:2016届江苏省高三上学期12月月考数学试卷(解析版) 题型:填空题

设函数f (x)=cos(ωx+φ),对任意x∈R都有,若函数g(x)=3sin(ωx+φ)-2,则g ()的值为_________.

查看答案和解析>>

科目:高中数学 来源:2016届河北省石家庄市高三二模文科数学试卷(解析版) 题型:选择题

已知实数,直线与抛物线和圆从上到下的交点依次为,则的值为( )

A. B. C. D.

查看答案和解析>>

科目:高中数学 来源:2015-2016学年安徽省高一下期中数学试卷(解析版) 题型:解答题

已知,解关于的不等式.

查看答案和解析>>

同步练习册答案