精英家教网 > 高中数学 > 题目详情
已知数列{an}满足a1=33,an+1-an=2n,则的最小值为   
【答案】分析:由累加法求出an=33+n2-n,所以,设f(n)=,由此能导出n=5或6时f(n)有最小值.借此能得到的最小值.
解答:解:an=(an-an-1)+(an-1-an-2)+…+(a2-a1)+a1=2[1+2+…+(n-1)]+33=33+n2-n
所以
设f(n)=,令f′(n)=
则f(n)在上是单调递增,在上是递减的,
因为n∈N+,所以当n=5或6时f(n)有最小值.
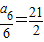
又因为
所以的最小值为
点评:本题考查了递推数列的通项公式的求解以及构造函数利用导数判断函数单调性,考查了同学们综合运用知识解决问题的能力.
练习册系列答案
相关习题

科目:高中数学 来源: 题型:

已知数列{an}满足:a1=1且an+1=
3+4an
12-4an
, n∈N*

(1)若数列{bn}满足:bn=
1
an-
1
2
(n∈N*)
,试证明数列bn-1是等比数列;
(2)求数列{anbn}的前n项和Sn
(3)数列{an-bn}是否存在最大项,如果存在求出,若不存在说明理由.

查看答案和解析>>

科目:高中数学 来源: 题型:

已知数列{an}满足
1
2
a1+
1
22
a2+
1
23
a3+…+
1
2n
an=2n+1
则{an}的通项公式
 

查看答案和解析>>

科目:高中数学 来源: 题型:

已知数列{an}满足:a1=
3
2
,且an=
3nan-1
2an-1+n-1
(n≥2,n∈N*).
(1)求数列{an}的通项公式;
(2)证明:对于一切正整数n,不等式a1•a2•…an<2•n!

查看答案和解析>>

科目:高中数学 来源: 题型:

已知数列{an}满足an+1=|an-1|(n∈N*
(1)若a1=
54
,求an
(2)若a1=a∈(k,k+1),(k∈N*),求{an}的前3k项的和S3k(用k,a表示)

查看答案和解析>>

科目:高中数学 来源: 题型:

(2012•北京模拟)已知数列{an}满足an+1=an+2,且a1=1,那么它的通项公式an等于
2n-1
2n-1

查看答案和解析>>

同步练习册答案