精英家教网 > 高中数学 > 题目详情

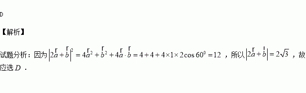
已知向量的夹角为,且,则( )

A. B. C. D.

练习册系列答案
相关习题

科目:高中数学 来源:2016届湖南师范大学附中高三上学期月考三理科数学试卷(解析版) 题型:选择题

已知数列的首项,数列为等比数列,且.若,则( )

A. B. C. D.

查看答案和解析>>

科目:高中数学 来源:2015-2016学年四川省实验学校高二上学期期中文科数学试卷(解析版) 题型:选择题

与两条异面直线分别相交的两条直线

A.可能是平行直线 B.一定是异面直线

C.可能是相交直线 D.一定是相交直线

查看答案和解析>>

科目:高中数学 来源:2016届辽宁省抚顺市高三12月月考文科数学试卷(解析版) 题型:解答题

选修4—5:不等式选讲.

设函数

(1)若不等式的解集为,求的值;

(2)若存在,使,求的取值范围.

查看答案和解析>>

科目:高中数学 来源:2016届辽宁省抚顺市高三12月月考理科数学试卷(解析版) 题型:解答题

已知函数

(1)求的单调区间和极值;

(2)设,且,证明:

查看答案和解析>>

科目:高中数学 来源:2016届湖南师大附中高三月考四文科数学试卷(解析版) 题型:选择题

下列函数中,的最小值为4的是( )

A.

B.

C.

D.

查看答案和解析>>

科目:高中数学 来源:2016届福建省高三上学期期中文科数学试卷(解析版) 题型:解答题

已知椭圆上的焦点为,离心率为

(1)求椭圆方程;

(2)设过椭圆顶点,斜率为的直线交椭圆于另一点,交轴于点,且成等比数列,求的值.

查看答案和解析>>

科目:高中数学 来源:2015-2016学年甘肃省高一上期中数学试卷(解析版) 题型:解答题

已知函数为实数),,设为偶函数,判断能否大于零?

查看答案和解析>>

科目:高中数学 来源:2015-2016学年湖北省武汉市高二上学期期中考试数学试卷(解析版) 题型:选择题

若经过的直线斜率为1,则等于( )

A.1 B.4 C.1或3 D.1或4

查看答案和解析>>

同步练习册答案