精英家教网 > 高中数学 > 题目详情
正方体ABCD-A1B1C1D1的棱长为1 ,求异面直线A1C1与AB1间的距离,
解:如图 ,建立空间直角坐标系,A(1,0,0),A1(1,0,1),B1(1,1,1),C1(0,1,1),
=(0,1,1),=(-1,1,0),=(0,0,-1).
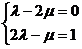
设MN是直线A1C1与AB1的公垂线,且=(1,λ,λ),=(-μ,μ,0),
=-(-μ,μ,0)+(0,0,-1)+(0,λ,λ)=(μ,λ-μ,λ-1).
从而有


练习册系列答案
相关习题

科目:高中数学 来源: 题型:

正方体ABCD-A1B1C1D1的各顶点均在半径为1的球面上,则四面体A1-ABC的体积等于
 

查看答案和解析>>

科目:高中数学 来源: 题型:

如图是从上下底面处在水平状态下的棱长为a的正方体ABCD-A1B1C1D1中分离出来的:
(1)试判断A1是否在平面B1CD内;(回答是与否)
(2)求异面直线B1D1与C1D所成的角;
(3)如果用图示中这样一个装置来盛水,那么最多可以盛多少体积的水.

查看答案和解析>>

科目:高中数学 来源: 题型:

已知边长为6的正方体ABCD-A1B1C1D1,E,F为AD、CD上靠近D的三等分点,H为BB1上靠近B的三等分点,G是EF的中点.
(1)求A1H与平面EFH所成角的正弦值;
(2)设点P在线段GH上,
GP
GH
=λ,试确定λ的值,使得二面角P-C1B1-A1的余弦值为
10
10

查看答案和解析>>

科目:高中数学 来源: 题型:

如图所示,在棱长为2cm的正方体ABCD-A1B1C1D1中,A1B1的中点是P,过点A1作出与截面PBC1平行的截面,简单证明截面形状,并求该截面的面积.

查看答案和解析>>

科目:高中数学 来源: 题型:

如图,正方体ABCD-A1B1C1D1中,M是棱AB的中点,过A1,M,C三点的平面与CD所成角正弦值(  )

查看答案和解析>>

同步练习册答案