精英家教网 > 高中数学 > 题目详情

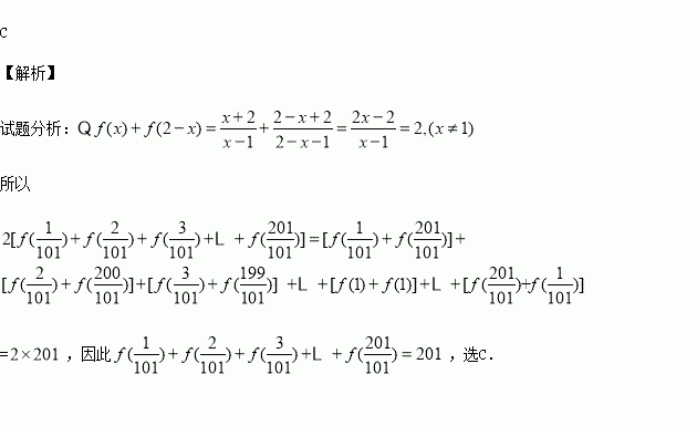
设函数的值为( )

A.199 B.200 C.201 D.202

练习册系列答案
相关习题

科目:高中数学 来源:2016届浙江省高三期中理科数学试卷(解析版) 题型:选择题

已知为一条直线,为两个不同的平面,则下列说法正确的是( )

A.若

B.若

C.若

D.若

查看答案和解析>>

科目:高中数学 来源:2016届甘肃省高三上学期期中理科数学试卷(解析版) 题型:解答题

(本小题满分12分)已知函数f(x)=(e为自然对数的底数).

(1)若a<1,求函数f(x)的单调区间;

(2)若a=1,函数φ(x)=xf(x)+t f ′(x)+,存在实数x1,x2∈[0,1],使 2φ(x1)<φ(x2)成立,求实数t的取值范围.

查看答案和解析>>

科目:高中数学 来源:2015-2016学年江苏启东中学高二上学期期中文科数学试卷(解析版) 题型:解答题

(本小题满分14分)在直角坐标系中,已知,动点,若直线的斜率满足条件

(1)求动点的轨迹方程;

(2)已知,问:曲线上是否存在点满足?若存在求出点坐标;若不存在,请说明理由.

查看答案和解析>>

科目:高中数学 来源:2015-2016学年江苏启东中学高二上学期期中理科数学试卷(解析版) 题型:填空题

在长方体中,,则所成角的余弦值为

查看答案和解析>>

科目:高中数学 来源:2015-2016学年广东省深圳市高一上学期期中数学试卷(解析版) 题型:填空题

已知偶函数的定义域为,当时,单调递增.若,则满足不等

的x的取值范围是

查看答案和解析>>

科目:高中数学 来源:2015-2016学年广东省高一上学期期中数学试卷(解析版) 题型:选择题

若函数0且)在上既是奇函数又是增函数,则的图像是 ( )

查看答案和解析>>

科目:高中数学 来源:2015-2016学年四川省德阳市高一10月月考数学试卷(解析版) 题型:解答题

(12分)(1)已知是一次函数,且满足,求的解析式;

(2)已知函数满足,求的解析式。

查看答案和解析>>

科目:高中数学 来源:2015-2016学年河北省唐山市高一10月月考数学试卷(解析版) 题型:选择题

已知在区间上是增函数,则的范围是( )

A. B. C. D.

查看答案和解析>>

同步练习册答案