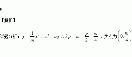
精英家教网 > 高中数学 > 题目详情

抛物线 的焦点坐标为( )

A. B. C. D.

练习册系列答案
相关习题

科目:高中数学 来源:2015-2016学年北京市东城区高二上学期期末考试理科数学试卷(解析版) 题型:选择题

在平面直角坐标系中,M为不等式组,所表示的区域上一动点,则直线OM斜率的最小值为( )

A. B. C. 1 D. 2

查看答案和解析>>

科目:高中数学 来源:2015-2016学年江西省宜春市高二上期末理科数学试卷(解析版) 题型:选择题

已知可导函数y=f(x)在点处切线为(如图),设F(x)=f(x)-g(x),则( )

A.的极小值点

B.的极大值点

C.的极值点

D.的极值点

查看答案和解析>>

科目:高中数学 来源:2015-2016学年山东省高二上期末文科数学试卷(解析版) 题型:填空题

下列命题:

①设a,b是非零实数,若a<b,则ab2<a2b;②若a<b<0,则;③函数的最小值是2;④若x,y是正数,且,则xy的最小值16.其中正确命题的序号是________.

查看答案和解析>>

科目:高中数学 来源:2015-2016学年山东省高二上期末文科数学试卷(解析版) 题型:选择题

已知是等比数列,,则( )

A. B. C. D.

查看答案和解析>>

科目:高中数学 来源:2015-2016学年山东省高二上期末理科数学试卷(解析版) 题型:解答题

已知等差数列 中,

(1)求数列的通项公式及前项和 的表达式;

(2)记数列的前项和为 ,求 的值.

查看答案和解析>>

科目:高中数学 来源:2015-2016学年山东省高二上期末理科数学试卷(解析版) 题型:填空题

若锐角三角形的面积为,则cosA=________.

查看答案和解析>>

科目:高中数学 来源:2015-2016学年山东省胶州市高二上学期期末考试文科数学试卷(解析版) 题型:填空题

椭圆的左、右焦点分别为,弦AB过点,若的内切圆周长为,A,B两点的坐标分别为,则

查看答案和解析>>

科目:高中数学 来源:2015-2016学年湖北省宜昌市高一上期末数学试卷(解析版) 题型:解答题

计算:(Ⅰ)

(Ⅱ)

查看答案和解析>>

同步练习册答案