精英家教网 > 高中数学 > 题目详情

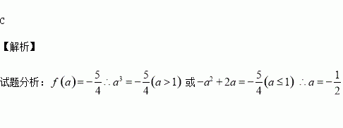
已知函数,则的值为( )

A. B.

C. D.

练习册系列答案
相关习题

科目:高中数学 来源:2015-2016学年广东东华高中高一上学期前段段考数学试卷(解析版) 题型:选择题

已知的值为( )

A. B. C. D.

查看答案和解析>>

科目:高中数学 来源:2015-2016学年河北省高一10月月考数学试卷(解析版) 题型:选择题

偶函数y=f(x)在区间[0,4]上单调递减,则有( )

A.f(-1)>f()>f(-π)

B.f()>f(-1)>f(-π)

C.f(-π)>f(-1)>f(

D.f(-1)>f(π)>f(

查看答案和解析>>

科目:高中数学 来源:2015-2016学年广东省英德市高一上学期第一次月考数学试卷(解析版) 题型:选择题

若函数f(x)=4x2-kx-8在[5,8]上是单调函数,则k的取值范围是( )

A.(-∞,40] B.[40,64]

C.(-∞,40]∪[64,+∞) D.[64,+∞)

查看答案和解析>>

科目:高中数学 来源:2015-2016学年广东省普宁市高二上期中考试理科数学试卷(解析版) 题型:选择题

抛物线x=ay2的准线方程是x=2,则a的值是( )

A. B. C.-8 D.8

查看答案和解析>>

科目:高中数学 来源:2015-2016学年广东省高一上学期期中考试数学试卷(解析版) 题型:选择题

右方分别为集合A到集合B的对应:其中,是从A到B的映射的是( )

A.(1)(2) B.(1)(2)(3)

C.(1)(2)(4) D.(1)(2)(3)(4)

查看答案和解析>>

科目:高中数学 来源:2015-2016学年广东省高二上学期期中考试文科数学试卷(解析版) 题型:选择题

海南岛购物免税在十一期间异常火爆,现对某商场10月2日9时至14时的销售额进行统计,其频率分布直方图如图所示,已知9时至11时的销售额为5万元,则11时至12时的销售额为( )

A.12万元 B.10万元 C.8万元 D.6万元

查看答案和解析>>

科目:高中数学 来源:2015-2016学年安徽省阜阳市高二上第一次调研考理科数学试卷(解析版) 题型:解答题

(本小题满分12分)

(1)解关于的不等式

(2)设常数,若对一切正实数成立,求的取值范围。

查看答案和解析>>

科目:高中数学 来源:2016届福建省高三第一次月考理科数学试卷(解析版) 题型:填空题

函数y=a1-x (a>0,a≠1)的图象恒过定点A,若点A在直线mx+ny-1=0 (mn>0)上,则的最小值为________.

查看答案和解析>>

同步练习册答案