精英家教网 > 高中数学 > 题目详情

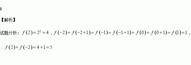
已知的值为( )

A. B. C. D.

练习册系列答案
相关习题

科目:高中数学 来源:2016届吉林省高三上学期二模文科数学试卷(解析版) 题型:解答题

,其中,曲线在点处的切线与轴相交于点

(1)确定的值;

(2)求函数的单调区间与极值.

查看答案和解析>>

科目:高中数学 来源:2015-2016学年江苏启东中学高二上学期期中文科数学试卷(解析版) 题型:解答题

(本小题满分16分) 已知圆

(1)直线与圆相交于两点,求

(2)如图,设是圆上的两个动点,点关于原点的对称点为,点关于轴的对称点为,如果直线轴交于,问是否为定值?若是求出该定值;若不是,请说明理由.

查看答案和解析>>

科目:高中数学 来源:2015-2016学年广东省深圳市高一上学期期中数学试卷(解析版) 题型:解答题

(本小题满分12分)已知集合,集合

(1)若,求

(2)若,求实数的取值范围.

查看答案和解析>>

科目:高中数学 来源:2015-2016学年广东省高一上学期期中数学试卷(解析版) 题型:选择题

函数上的偶函数,在上是减函数,若的取值范围是( )

(A)

(B)

(C)

(D)

查看答案和解析>>

科目:高中数学 来源:2014-2015学年山西襄汾赵曲中学高一上学期第一次月考人教版数学试卷(解析版) 题型:选择题

函数f(x)是定义在R上的奇函数,下列说法:

①f(0)=0;

②若f(x)在[0,+∞)上有最小值为-1,则f(x)在(-∞,0]上有最大值为1;

③若f(x)在[1,+∞)上为增函数,则f(x)在(-∞,-1]上为减函数;

④若x>0时,f(x)=x2-2x,则x<0时,f(x)=-x2-2x.其中正确说法的个数是( )

A.1个 B.2个 C.3个 D.4个

查看答案和解析>>

科目:高中数学 来源:2015-2016学年四川省德阳市高一10月月考数学试卷(解析版) 题型:解答题

(12分)已知函数

(1)若方程有两不相等的正根,求的取值范围;

(2)求的最小值.

查看答案和解析>>

科目:高中数学 来源:2015-2016学年江苏省泰州市姜堰区高二上学期期中考试理科数学试卷(解析版) 题型:解答题

(本题满分14分)

已知,命题,命题

(I)若命题为真命题,求实数的取值范围;

(II)若命题为假命题,求实数的取值范围.

查看答案和解析>>

科目:高中数学 来源:2015-2016学年广东省高一上第一次月考数学试卷(解析版) 题型:选择题

已知函数,则的值为( )

A. B.

C. D.

查看答案和解析>>

同步练习册答案