精英家教网 > 高中数学 > 题目详情

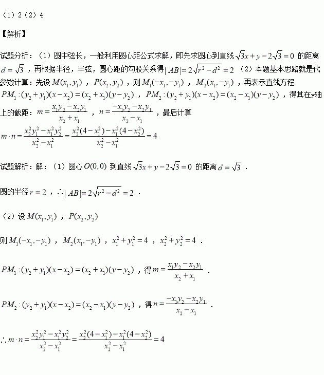
(本小题满分16分) 已知圆

(1)直线与圆相交于两点,求

(2)如图,设是圆上的两个动点,点关于原点的对称点为,点关于轴的对称点为,如果直线轴交于,问是否为定值?若是求出该定值;若不是,请说明理由.

练习册系列答案
相关习题

科目:高中数学 来源:2015-2016年河北省高二上学期期中数学试卷(解析版) 题型:填空题

设点P,Q分别在直线上运动,线段PQ中点为,且,则的取值范围为 .

查看答案和解析>>

科目:高中数学 来源:2016届黑龙江省高三上学期期中理科数学试卷(解析版) 题型:解答题

(本小题12分)数列的前项和为,且满足,

(1)证明:是等比数列,并求数列的通项公式

(2)设,求证:

查看答案和解析>>

科目:高中数学 来源:2016届甘肃省高三上学期期中理科数学试卷(解析版) 题型:选择题

,则( )

A. B. C. D.

查看答案和解析>>

科目:高中数学 来源:2015-2016学年山东省高一10月月考数学试卷(解析版) 题型:填空题

已知函数,若,则=_________.

查看答案和解析>>

科目:高中数学 来源:2015-2016学年江苏启东中学高二上学期期中理科数学试卷(解析版) 题型:解答题

(本小题满分16分)已知椭圆的左、右焦点分别为,短轴两个端点为,且四边形是边长为2的正方形.

(1)求椭圆的方程;

(2)若分别是椭圆长轴的左、右端点,动点满足,连接,交椭圆于点.证明:为定值.

(3)在(2)的条件下,试问轴上是否存异于点的定点,使得以为直径的圆恒过直线的交点,若存在,求出点的坐标;若不存在,请说明理由.

查看答案和解析>>

科目:高中数学 来源:2015-2016学年河北省高一上学期一调数学试卷(解析版) 题型:填空题

已知,则实数的值是

查看答案和解析>>

科目:高中数学 来源:2015-2016学年广东东华高中高一上学期前段段考数学试卷(解析版) 题型:选择题

已知的值为( )

A. B. C. D.

查看答案和解析>>

科目:高中数学 来源:2015-2016学年河北省高一10月月考数学试卷(解析版) 题型:选择题

偶函数y=f(x)在区间[0,4]上单调递减,则有( )

A.f(-1)>f()>f(-π)

B.f()>f(-1)>f(-π)

C.f(-π)>f(-1)>f(

D.f(-1)>f(π)>f(

查看答案和解析>>

同步练习册答案