精英家教网 > 高中数学 > 题目详情

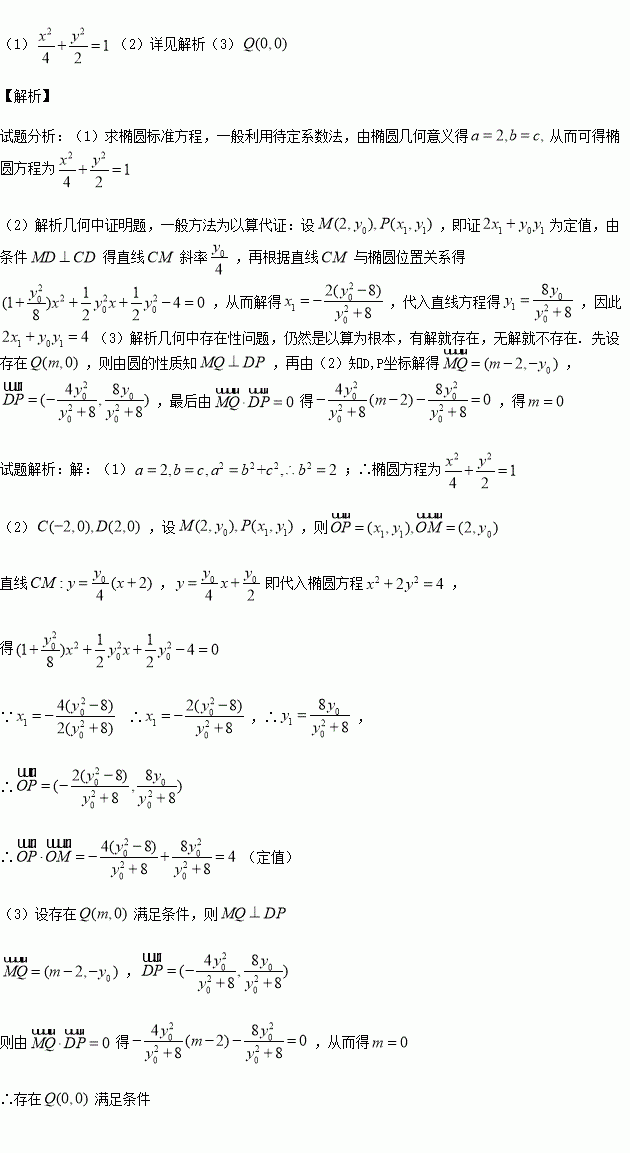
(本小题满分16分)已知椭圆的左、右焦点分别为,短轴两个端点为,且四边形是边长为2的正方形.

(1)求椭圆的方程;

(2)若分别是椭圆长轴的左、右端点,动点满足,连接,交椭圆于点.证明:为定值.

(3)在(2)的条件下,试问轴上是否存异于点的定点,使得以为直径的圆恒过直线的交点,若存在,求出点的坐标;若不存在,请说明理由.

练习册系列答案
相关习题

科目:高中数学 来源:2016届浙江省高三期中文科数学试卷(解析版) 题型:填空题

已知函数;(1)当时,的值域为__ ___,(2)若上的减函数,则实数的取值范围是_____.

查看答案和解析>>

科目:高中数学 来源:2016届黑龙江省高三上学期期中理科数学试卷(解析版) 题型:选择题

函数的定义域是 ( )

A. B. C. D.

查看答案和解析>>

科目:高中数学 来源:2015-2016学年重庆市高一10月月考数学试卷(解析版) 题型:选择题

已知集合,全集,则集合( )

A. B. C. D.

查看答案和解析>>

科目:高中数学 来源:2015-2016学年江苏启东中学高二上学期期中文科数学试卷(解析版) 题型:解答题

(本小题满分16分) 已知圆

(1)直线与圆相交于两点,求

(2)如图,设是圆上的两个动点,点关于原点的对称点为,点关于轴的对称点为,如果直线轴交于,问是否为定值?若是求出该定值;若不是,请说明理由.

查看答案和解析>>

科目:高中数学 来源:2015-2016学年河北省高一上学期一调数学试卷(解析版) 题型:解答题

(本小题满分12分)已知函数,其中为常数且满足

(1)求的值;

(2)证明函数在区间上是减函数,并判断上的单调性;

(3)若对任意的,总有成立,求实数的取值范围.

查看答案和解析>>

科目:高中数学 来源:2015-2016学年广东省深圳市高一上学期期中数学试卷(解析版) 题型:解答题

(本小题满分12分)已知集合,集合

(1)若,求

(2)若,求实数的取值范围.

查看答案和解析>>

科目:高中数学 来源:2014-2015学年山西襄汾赵曲中学高一上学期第一次月考人教版数学试卷(解析版) 题型:选择题

函数f(x)是定义在R上的奇函数,下列说法:

①f(0)=0;

②若f(x)在[0,+∞)上有最小值为-1,则f(x)在(-∞,0]上有最大值为1;

③若f(x)在[1,+∞)上为增函数,则f(x)在(-∞,-1]上为减函数;

④若x>0时,f(x)=x2-2x,则x<0时,f(x)=-x2-2x.其中正确说法的个数是( )

A.1个 B.2个 C.3个 D.4个

查看答案和解析>>

科目:高中数学 来源:2015-2016学年河北省高二10月月考文科数学试卷(解析版) 题型:填空题

已知方程表示焦点在轴上的椭圆,则的取值范围是_________

查看答案和解析>>

同步练习册答案