精英家教网 > 高中数学 > 题目详情

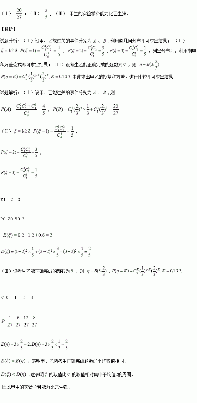
某校高二年级设计了一个实验学科的能力考查方案:考生从6道备选题中一次性随机抽取3道题,并独立完成所抽取的3道题.规定:至少正确完成其中2道题的便可通过该学科的能力考查.已知6道备选题中考生甲能正确完成其中4道题,另2道题不能完成;考生乙正确完成每道题的概率都为

(Ⅰ)分别求考生甲、乙能通过该实验学科能力考查的概率;

(Ⅱ)记所抽取的3道题中,考生甲能正确完成的题数为,写出的概率分布,并求

(Ⅲ)试用统计知识分析比较甲、乙考生在该实验学科上的能力水平.

练习册系列答案
相关习题

科目:高中数学 来源:2015-2016学年贵州遵义一中高二下联考理科数学试卷(解析版) 题型:解答题

如图,椭圆经过点,离心率,直线的方程为.

(1)求椭圆的方程;

(2)设过椭圆右焦点的直线与直线相交于点,记直线的斜率分别为,问:是否存在常数,使得?若存在,求的值;若不存在,请说明理由.

查看答案和解析>>

科目:高中数学 来源:2016届安徽省高三最后一卷文科数学试卷(解析版) 题型:选择题

椭圆的右焦点到直线的距离是( )

A. B. C.1 D.

查看答案和解析>>

科目:高中数学 来源:2016届安徽省高三最后一卷理科数学试卷(解析版) 题型:选择题

如图,网格上纸上小正方形边长为1,粗线是一个棱锥的三视图,则此棱锥的体积为( )

A. B. C. D.

查看答案和解析>>

科目:高中数学 来源:2016届安徽省高三最后一卷理科数学试卷(解析版) 题型:选择题

设函数在区间上单调递减,则实数的取值范围是( )

A. B. C. D.

查看答案和解析>>

科目:高中数学 来源:2015-2016学年河北邢台一中高二6月月考理科数学试卷(解析版) 题型:填空题

已知集合,若对于任意,都存在,使得成立,则称集合M是“垂直对点集”.给出下列四个集合:

; ②

; ④

其中是“垂直对点集”的序号是

查看答案和解析>>

科目:高中数学 来源:2015-2016学年河北邢台一中高二6月月考理科数学试卷(解析版) 题型:选择题

已知定义在上的函数满足条件,且函数为奇函数,则下面给出的命题中错误的是( )

A.函数是周期函数,且周期T=3 B.函数上有可能是单调函数

C.函数的图像关于点对称 D.函数是偶函数

查看答案和解析>>

科目:高中数学 来源:2015-2016学年河北邢台一中高二6月月考文科数学试卷(解析版) 题型:填空题

在平面直角坐标系xOy中,以原点O为极点,x轴的正半轴为极轴建立极坐标系.曲线C1的极坐标方程为ρ(cos θ+sin θ)=-2,曲线C2的参数方程为(t为参数),则C1与C2公共点的直角坐标为________.

查看答案和解析>>

科目:高中数学 来源:2015-2016学年河北省高一6月月考数学试卷(解析版) 题型:解答题

如图,四棱锥中,是正三角形,四边形是矩形,且平面平面

(1)若点的中点,求证:平面

(2)若是线段的中点,求三棱锥的体积.

查看答案和解析>>

同步练习册答案