精英家教网 > 高中数学 > 题目详情

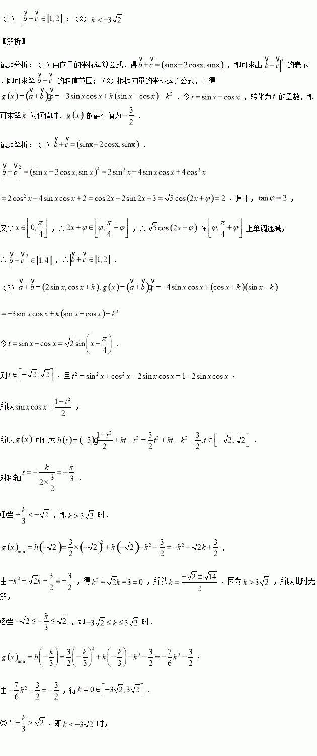
已知

(1)当时,求的取值范围;

(2)若,求当为何值时,的最小值为

练习册系列答案
相关习题

科目:高中数学 来源:2016届辽宁省高三第四次模拟数学(文)试卷(解析版) 题型:解答题

已知直线为参数),曲线为参数).

(1)设相交于两点,求

(2)若把曲线上各点的横坐标压缩为原来的倍,纵坐标压缩为原来的倍,得到,设点是曲线上的一个动点,求它到直线的距离的最小值.

查看答案和解析>>

科目:高中数学 来源:2016届辽宁省高三第四次模拟数学(理)试卷(解析版) 题型:选择题

,则二项式的常数项是( )

A. B. C. D.

查看答案和解析>>

科目:高中数学 来源:2015-2016学年内蒙古高一下期末理数学试卷(解析版) 题型:选择题

如果不等式对一切实数均成立,则实数的取值范围是( )

A. B. C. D.

查看答案和解析>>

科目:高中数学 来源:2015-2016学年内蒙古高一下期末理数学试卷(解析版) 题型:选择题

已知等比数列满足,则( )

A. B. C. D.

查看答案和解析>>

科目:高中数学 来源:2016-2017学年江西新余一中高二上学期入学考数学试卷(解析版) 题型:填空题

的图像向右平移2个单位后得曲线,将函数的图像向下平移2个单位后得曲线关于轴对称,若的最小值为,则实数的取值范围为____________.

查看答案和解析>>

科目:高中数学 来源:2016-2017学年江西新余一中高二上学期入学考数学试卷(解析版) 题型:选择题

执行如图所示的程序框图,若输入,则输出的是( )

A.306 B.50 C.78 D.18

查看答案和解析>>

科目:高中数学 来源:2015-2016学年广西河池市高一下月考一数学试卷(解析版) 题型:填空题

若以连续掷两次骰子分别得到的点数作为点的横、纵坐标,则点在直线上的概率为

查看答案和解析>>

科目:高中数学 来源:2017届河南省天一大联考高三上学期段测一数学(理)试卷(解析版) 题型:解答题

设函数.

(Ⅰ)当时,设,求证:对任意的

(Ⅱ)当时,若对任意,不等式恒成立.求实数的取值范围.

查看答案和解析>>

同步练习册答案