精英家教网 > 高中数学 > 题目详情

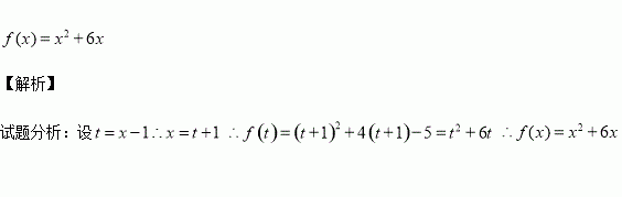
已知,则

练习册系列答案
相关习题

科目:高中数学 来源:2014-2015学年山西襄汾赵曲中学高一上学期第一次月考人教版数学试卷(解析版) 题型:填空题

若函数f(x)= ,则f(-3)=______.

查看答案和解析>>

科目:高中数学 来源:2015-2016学年河北省高二10月月考文科数学试卷(解析版) 题型:解答题

分别为椭圆的左、右焦点.

(1)若椭圆上的点两点的距离之和等于4,求椭圆的方程和焦点坐标;

(2)设点P是(1)中所求得的椭圆上的动点,

查看答案和解析>>

科目:高中数学 来源:2015-2016学年广东省普宁市高二上期中考试理科数学试卷(解析版) 题型:解答题

(本小题满分12分)

如图,在四边形ABCD中,AC平分∠DAB,∠ABC=60°,AC=6,AD=5,S△ADC=,求AB的长.

查看答案和解析>>

科目:高中数学 来源:2015-2016学年广东省高一上第一次月考数学试卷(解析版) 题型:选择题

已知偶函数在区间上单调递增,则满足的取值范围是( )

A. B. C. D.

查看答案和解析>>

科目:高中数学 来源:2015-2016学年广东省高二上学期期中考试文科数学试卷(解析版) 题型:填空题

若直线经过圆的圆心,则的最小值为________________

查看答案和解析>>

科目:高中数学 来源:2015-2016学年广东省高二上学期期中考试理科数学试卷(解析版) 题型:选择题

抛2颗骰子,则向上点数不同的概率为( )

A. B. C. D.

查看答案和解析>>

科目:高中数学 来源:2015-2016学年安徽省阜阳市高二上第一次调研考理科数学试卷(解析版) 题型:选择题

设a,b∈R,则“a>b”是“a|a|>b|b|”的( )

A.充分不必要条件 B.必要不充分条件

C.充要条件 D.既不充分又不必要条件

查看答案和解析>>

科目:高中数学 来源:2014-2015学年浙江宁波效实中学高三上学期期中文科数学试卷(解析版) 题型:解答题

中,角所对的边为.已知,且

(1)求的值;

(2)当时,求的面积

查看答案和解析>>

同步练习册答案