函数
的图像经过怎样的平移变换得到函数
的图像( ).
A.向左平移
个单位长度
B.向左平移
个单位长度
C.向右平移
个单位长度
D.向右平移
个单位长度
【答案】B
【解析】
试题分析:因为
,所以将函数
向左平移
个单位长度即可得到函数
的图象,故选A.
考点:三角函数图象的平移变换.
【题型】选择题
【适用】一般
【标题】【百强校】2016届江西省临川一中高三上学期期中文科数学试卷(带解析)
【关键字标签】
【结束】
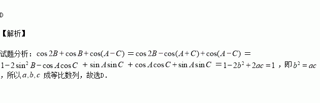
在![]()
中,
为
的对边,且
,则( ).
A.
成等差数列
B.
成等差数列
C.
成等比数列
D.
成等比数列
科目:高中数学 来源:2014-2015年河北保定一中高二下第一次段考文数学试卷(解析版) 题型:选择题
集合
,则
( )
A.{(-
,1),(
,1)} B.![]()
C.{z|-1≤z≤
} D.{z|0≤z≤
}
查看答案和解析>>
科目:高中数学 来源:2015-2016年浙江宁波效实中学高二1,2班上期中数学卷(解析版) 题型:选择题
设随机事件A、B的对立事件为
、
,且
,则下列说法错误的是( )
A.若A和B独立,则
和
也一定独立
B.若
,则![]()
C.若A和B互斥,则必有![]()
D.若A和B独立,则必有![]()
查看答案和解析>>
科目:高中数学 来源:2016届浙江省高三期中文科数学试卷(解析版) 题型:解答题
如图所示,在边长为4的菱形ABCD中,∠DAB=60°,点E,F分别是边CD,CB的中点,EF∩AC=O,沿EF将△CEF翻折到△PEF,连接PA,PB,PD,得到五棱锥P﹣ABFED,且
,PB=
.
![]()
(1)求证:BD⊥平面POA;
(2)求二面角B﹣AP﹣O的正切值.
查看答案和解析>>
科目:高中数学 来源:2016届江西省高三上学期期中理科数学试卷(解析版) 题型:选择题
已知双曲线C的方程为
,其左、右焦点分别是
、
.已知点
坐标为
,双曲线
上点
(
,
)满足
,则
( )
A.
B.
C.
D.![]()
查看答案和解析>>
科目:高中数学 来源:2016届江苏省高三周练数学试卷(解析版) 题型:填空题
交通管理部门为了解机动车驾驶员(简称驾驶员)对某新法规的知晓情况,对甲、乙、丙、丁四个社区做分层抽样调查.假设四个社区驾驶员的总人数为
,其中甲社区有驾驶员
人.若在甲、乙、丙、丁四个社区抽取驾驶员的人数分别为
,
,
,
,则这四个社区驾驶员的总人数
为 .
查看答案和解析>>
科目:高中数学 来源:2016届黑龙江省高三上学期期中理科数学试卷(解析版) 题型:选择题
已知命题
,命题
,则( )
A.命题
是假命题 B.命题
是真命题
C.命题
是真命题 D.命题
是假命题
查看答案和解析>>
科目:高中数学 来源:2015-2016学年广东省深圳市高一上学期期中数学试卷(解析版) 题型:解答题
(本小题满分10分)已知函数
(a>0,且a≠1),
=
.
(1)函数
的图象恒过定点A,求A点坐标;
(2)若函数
的图像过点(2,
),证明:方程
在
(1,2)上有唯一解.
查看答案和解析>>
湖北省互联网违法和不良信息举报平台 | 网上有害信息举报专区 | 电信诈骗举报专区 | 涉历史虚无主义有害信息举报专区 | 涉企侵权举报专区
违法和不良信息举报电话:027-86699610 举报邮箱:58377363@163.com