精英家教网 > 高中数学 > 题目详情

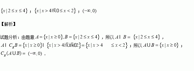
已知全集为,集合,则

练习册系列答案
相关习题

科目:高中数学 来源:2015-2016学年福建厦门双十中学高二上期中理科数学试卷(解析版) 题型:填空题

不等式的解集为 (答案要求用集合形式表达)

查看答案和解析>>

科目:高中数学 来源:2015-2016年浙江宁波效实中学高二1,2班上期中数学卷(解析版) 题型:解答题

已知椭圆的离心率,它的上顶点为,左、右焦点为,直线分别交椭圆于点

(1)判断是否平分线段,说明理由;

(2)若,过的动直线交椭圆于两点,在线段上取点,使

①写出椭圆的方程;

②求点的轨迹方程.

查看答案和解析>>

科目:高中数学 来源:2015-2016年河北省高二上学期期中数学试卷(解析版) 题型:填空题

的方程为,在圆O上取一个动点B,设点P满足,则P点的轨迹是 .

查看答案和解析>>

科目:高中数学 来源:2016届浙江省高三期中文科数学试卷(解析版) 题型:选择题

设双曲线的左、右焦点分别为,离心率为,过的直线与双曲线的右支交于两点,若是以为直角顶点的等腰直角三角形,则( )

A. B. C. D.

查看答案和解析>>

科目:高中数学 来源:2016届江西省高三上学期期中文科数学试卷(解析版) 题型:选择题

函数的图像经过怎样的平移变换得到函数的图像( ).

A.向左平移个单位长度

B.向左平移个单位长度

C.向右平移个单位长度

D.向右平移个单位长度

【答案】B

【解析】

试题分析:因为,所以将函数向左平移个单位长度即可得到函数的图象,故选A.

考点:三角函数图象的平移变换.

【题型】选择题
【适用】一般
【标题】【百强校】2016届江西省临川一中高三上学期期中文科数学试卷(带解析)
【关键字标签】
【结束】
 

中,的对边,且,则( ).

A.成等差数列

B.成等差数列

C.成等比数列

D.成等比数列

查看答案和解析>>

科目:高中数学 来源:2016届江西省高三上学期期中理科数学试卷(解析版) 题型:选择题

已知集合,则 ( ).

A. B. C. D.

查看答案和解析>>

科目:高中数学 来源:2016届吉林省高三上学期二模理科数学试卷(解析版) 题型:选择题

若cosα=-,α是第三象限的角,则sin(α+)=( )

A.- B. C.- D.

查看答案和解析>>

科目:高中数学 来源:2015-2016学年河北省高一上学期一调数学试卷(解析版) 题型:解答题

(本小题满分10分)已知,分别求

查看答案和解析>>

同步练习册答案