精英家教网 > 高中数学 > 题目详情

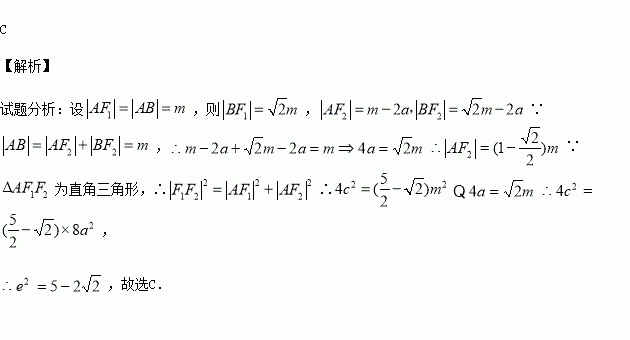
设双曲线的左、右焦点分别为,离心率为,过的直线与双曲线的右支交于两点,若是以为直角顶点的等腰直角三角形,则( )

A. B. C. D.

练习册系列答案
相关习题

科目:高中数学 来源:2015-2016学年福建厦门双十中学高二上期中文科数学试卷(解析版) 题型:选择题

的最小值为 ( ).

A. B.1 C.4 D.8

查看答案和解析>>

科目:高中数学 来源:2015-2016学年浙江省高二上期中数学试卷(解析版) 题型:解答题

(本题满分11分)已知动圆过定点,且与直线相切;椭圆的对称轴为坐标轴,中心为坐标原点是其一个焦点,又点在椭圆上.

(1)求动圆圆心的轨迹的方程和椭圆的方程;

(2)过点作直线交轨迹两点,连结,射线交椭圆两点,求面积的最小值.

(3)附加题(本题额外加5分):过椭圆上一动点作圆的两条切线,切点分别为,求的取值范围.

查看答案和解析>>

科目:高中数学 来源:2015-2016学年河北省高二上学期期中数学试卷(解析版) 题型:填空题

在下列给出的命题中,所有正确命题的序号为

①若,则的夹角为锐角;

②对,若,则

③若实数满足,则的最大值为

④函数的图像关于点对称.

查看答案和解析>>

科目:高中数学 来源:2015-2016年河北省高二上学期期中数学试卷(解析版) 题型:选择题

直线与圆相交于M,N两点,若,则k的取值范围是( )

A. B.

C. D.

查看答案和解析>>

科目:高中数学 来源:2016届浙江省高三期中理科数学试卷(解析版) 题型:填空题

已知全集为,集合,则

查看答案和解析>>

科目:高中数学 来源:2016届江西省高三上学期期中文科数学试卷(解析版) 题型:选择题

已知集合,则 ( ).

A. B. C. D.

查看答案和解析>>

科目:高中数学 来源:2016届吉林省高三上学期二模理科数学试卷(解析版) 题型:解答题

(本小题满分12分)设椭圆C:的左焦点为F,过点F的直线与椭圆C相交于A,B两点,直线l的倾斜角为60o,

(Ⅰ)求椭圆C的离心率;

(Ⅱ)如果|AB|=,求椭圆C的方程.

查看答案和解析>>

科目:高中数学 来源:2015-2016学年江苏启东中学高二上学期期中理科数学试卷(解析版) 题型:解答题

(本小题满分14分)已知命题:方程有两个不相等的实根;命题:关于的不等式对任意的实数恒成立.若“”为真,“”为假,求实数的取值范围.

查看答案和解析>>

同步练习册答案