精英家教网 > 高中数学 > 题目详情

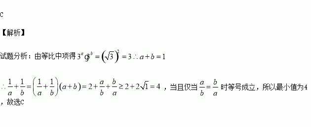
的最小值为 ( ).

A. B.1 C.4 D.8

练习册系列答案
相关习题

科目:高中数学 来源:2015-2016学年甘肃省定西市高一上学期第一次月考数学试卷(解析版) 题型:解答题

(本小题12分)已知函数

(1)在坐标系中作出函数的图象;

(2)若,求的取值集合;

查看答案和解析>>

科目:高中数学 来源:2015-2016学年四川成都市六校高二上学期期中联考理科数学试卷(解析版) 题型:填空题

如图正方形的边长为,已知,将沿边折起,折起后点在平面上的射影为点,则翻折后的几何体中有如下描述:

所成角的正切值是

的体积是

④平面⊥平面

⑤直线与平面所成角为

其中正确的有 .(填写你认为正确的序号)

查看答案和解析>>

科目:高中数学 来源:2015-2016学年河北省高一上学期第一次月考数学试卷(解析版) 题型:选择题

若函数y=x2﹣4x﹣4的定义域为[0,m],值域为,则m的取值范围是 ( )

A.(0,2] B. C. D.

查看答案和解析>>

科目:高中数学 来源:2015-2016学年广东省普宁市高一上学期期中考试数学试卷(解析版) 题型:选择题

三个数大小的顺序是 ( )

A. B. C. D.

查看答案和解析>>

科目:高中数学 来源:2015-2016学年福建厦门双十中学高二上期中理科数学试卷(解析版) 题型:填空题

不等式的解集为 (答案要求用集合形式表达)

查看答案和解析>>

科目:高中数学 来源:2014-2015年河北保定一中高二下第一次段考理数学试卷(解析版) 题型:解答题

(本题满分12分)设数列的前n项和为,且满足

(1)求

(2)猜想数列的通项公式,并用数学归纳法证明

查看答案和解析>>

科目:高中数学 来源:2014-2015学年河北省高二上第二次段考理科数学试卷(解析版) 题型:选择题

不等式x2+3x﹣4<0的解集为 ( )

A.x|x<﹣1,或x>4} B.{x|﹣4<x<1}

C.{x|x<﹣4,或x>1} D.{x|﹣3<x<0}

查看答案和解析>>

科目:高中数学 来源:2016届浙江省高三期中文科数学试卷(解析版) 题型:选择题

设双曲线的左、右焦点分别为,离心率为,过的直线与双曲线的右支交于两点,若是以为直角顶点的等腰直角三角形,则( )

A. B. C. D.

查看答案和解析>>

同步练习册答案