精英家教网 > 高中数学 > 题目详情

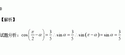
,那么=( )

A. B. C. D.

练习册系列答案
相关习题

科目:高中数学 来源:2015-2016学年吉林省扶余市高二上学期期中考试文科数学试卷(解析版) 题型:填空题

已知数列{}的前n项和 ,则=________.

查看答案和解析>>

科目:高中数学 来源:2015-2016学年重庆市高二上第一次月考理科数学试卷(解析版) 题型:选择题

,则经过点的切线方程为( )

A. B.

C. D.

查看答案和解析>>

科目:高中数学 来源:2015-2016学年辽宁省大连市高二上期中理科数学试卷(解析版) 题型:选择题

平面内,到两定点的距离之差的绝对值等于的点的轨迹

(A)椭圆 (B)线段 (C)双曲线 (D)两条射线

查看答案和解析>>

科目:高中数学 来源:2015-2016学年江西省赣州市十三县高二上期中联考文科数学试卷(解析版) 题型:解答题

(本小题满分12分)已知关于的不等式

(1)若不等式的解集为,求的值.

(2)求关于的不等式的解集

查看答案和解析>>

科目:高中数学 来源:2015-2016学年江西省赣州市十三县高二上期中联考理科数学试卷(解析版) 题型:选择题

已知,下列命题正确的是( )

A.若, 则 B.若,则

C.若,则 D.若,则

查看答案和解析>>

科目:高中数学 来源:2015-2016学年湖北省宜昌市高二上期中文科数学试卷(解析版) 题型:解答题

(本小题满分10分)关于某设备的使用年限x和所支出的维修费用(万元),有统计数据,由资料知呈线性相关,并且统计的五组数据的平均值分别为,若用五组数据得到的线性回归方程去估计,使用8年的维修费用比使用7年的维修费用多1.1万元.

(1)求回归直线方程;

(2)估计使用年限为10年时,维修费用是多少?

查看答案和解析>>

科目:高中数学 来源:2015-2016学年广东省普宁市高二上期中文科数学试卷(解析版) 题型:选择题

如图,在平行四边形中,对角线交于点,,则_____

查看答案和解析>>

科目:高中数学 来源:2016届辽宁省葫芦岛市高三上学期期中理科数学试卷(解析版) 题型:选择题

已知是夹角为的两个单位向量,若,则的夹角为( )

A. B. C. D.

查看答案和解析>>

同步练习册答案