精英家教网 > 高中数学 > 题目详情

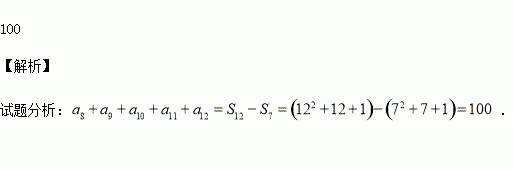
已知数列{}的前n项和 ,则=________.

练习册系列答案
相关习题

科目:高中数学 来源:2015-2016学年四川省实验学校高二上学期期中理科数学试卷(解析版) 题型:选择题

若点在两条平行直线之间,则整数的值为

A. B. C. D.

查看答案和解析>>

科目:高中数学 来源:2015-2016学年广东省清远市实验学校高二上学期期中数学试卷(解析版) 题型:选择题

一个容量为1 000的样本分成若干组,已知某组的频率为0.4,则该组的频数是( )

A.400 B.40 C.4 D.600

查看答案和解析>>

科目:高中数学 来源:2015-2016学年江苏省无锡市四校高二上学期期中考试数学试卷(解析版) 题型:填空题

命题“?x∈R,x2+x+1≥0”的否定是

查看答案和解析>>

科目:高中数学 来源:2015-2016学年吉林省扶余市高一上学期期中考试数学试卷(解析版) 题型:选择题

如图是△AOB用斜二测画法画出的直观图,则△AOB的面积是________.

查看答案和解析>>

科目:高中数学 来源:2015-2016学年吉林省扶余市高二上学期期中考试理科数学试卷(解析版) 题型:解答题

给定两个命题: P:对任意实数都有恒成立;Q:关于的方程有实数根;如果P与Q中有且仅有一个为真命题,求实数的取值范围.

查看答案和解析>>

科目:高中数学 来源:2015-2016学年湖南省高二上学期期中考试理科数学试卷(解析版) 题型:选择题

已知双曲线的渐近线方程是,焦点在轴上,焦距为,则它的方程为( )

A. B. C. D.

查看答案和解析>>

科目:高中数学 来源:2015-2016学年福建省高二上学期期中考试理科数学试卷(解析版) 题型:选择题

已知{an}为等差数列,a1+a3+a5=105,a2+a4+a6=99,以Sn表示{an}的前n项和,则使得Sn达到最大值的n是( )

A.21 B.20 C.19 D.18

查看答案和解析>>

科目:高中数学 来源:2015-2016学年江西省赣州市十三县高二上期中联考文科数学试卷(解析版) 题型:选择题

,那么=( )

A. B. C. D.

查看答案和解析>>

同步练习册答案