精英家教网 > 高中数学 > 题目详情

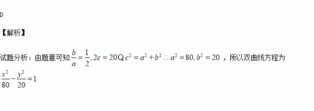
已知双曲线的渐近线方程是,焦点在轴上,焦距为,则它的方程为( )

A. B. C. D.

练习册系列答案
相关习题

科目:高中数学 来源:2015-2016学年陕西省西安市高二上学期期中考试理科数学试卷(解析版) 题型:选择题

为非零实数,且,则下列不等式成立的是( )

A. B. C. D.

查看答案和解析>>

科目:高中数学 来源:2015-2016学年江苏省无锡市四校高二上学期期中考试数学试卷(解析版) 题型:解答题

已知直线与圆C:相交于A,B两点,弦AB中点为M(0,1),

(1)求实数的取值范围以及直线的方程;

(2)若圆C上存在四个点到直线的距离为,求实数a的取值范围;

(3)已知N(0,﹣3),若圆C上存在两个不同的点P,使,求实数的取值范围.

查看答案和解析>>

科目:高中数学 来源:2015-2016学年吉林省扶余市高二上学期期中考试文科数学试卷(解析版) 题型:填空题

已知数列{}的前n项和 ,则=________.

查看答案和解析>>

科目:高中数学 来源:2015-2016学年吉林省扶余市高二上学期期中考试理科数学试卷(解析版) 题型:选择题

在△中,角的对边分别是,若,则( )

A. B. C. D.

查看答案和解析>>

科目:高中数学 来源:2015-2016学年福建省高一上学期期中考试数学试卷(解析版) 题型:填空题

已知函数恒过定点,若点也在幂函数的图象上,则

查看答案和解析>>

科目:高中数学 来源:2015-2016学年福建省高二上学期期中考试文科数学试卷(解析版) 题型:选择题

在2和8之间插入3个数,使它们与这两个数依次构成等比数列,则这3个数的积为( )

A.64 B.±64 C.16 D.±16

查看答案和解析>>

科目:高中数学 来源:2015-2016学年重庆市高二上第一次月考理科数学试卷(解析版) 题型:选择题

,则经过点的切线方程为( )

A. B.

C. D.

查看答案和解析>>

科目:高中数学 来源:2015-2016学年湖北省宜昌市高二上期中文科数学试卷(解析版) 题型:解答题

(本小题满分10分)关于某设备的使用年限x和所支出的维修费用(万元),有统计数据,由资料知呈线性相关,并且统计的五组数据的平均值分别为,若用五组数据得到的线性回归方程去估计,使用8年的维修费用比使用7年的维修费用多1.1万元.

(1)求回归直线方程;

(2)估计使用年限为10年时,维修费用是多少?

查看答案和解析>>

同步练习册答案