精英家教网 > 高中数学 > 题目详情

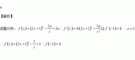
已知,若,则

A.4 B.5 C. D.

练习册系列答案
相关习题

科目:高中数学 来源:2015-2016学年山东省济宁市兖州区高一上学期期中考试数学试卷(解析版) 题型:解答题

已知函数2≤x≤8.

(Ⅰ)令,求y关于t的函数关系式,并写出t的范围;

(Ⅱ)求该函数的值域.

查看答案和解析>>

科目:高中数学 来源:2016届福建省高三上学期期中文科数学试卷(解析版) 题型:填空题

当点在直线上移动时,的最小值为________.

查看答案和解析>>

科目:高中数学 来源:2015-2016学年甘肃省高一上期中数学试卷(解析版) 题型:选择题

函数的图象是( )

A. B. C. D.

查看答案和解析>>

科目:高中数学 来源:2015-2016学年安徽省合肥市高一上学期期中数学试卷(解析版) 题型:选择题

的值是( )

A. B. C. D.

查看答案和解析>>

科目:高中数学 来源:2015-2016学年广东省清远市实验学校高一上学期期中数学试卷(解析版) 题型:选择题

在下列四组函数中,表示同一函数的是( )

A.

B.

C.

D.

查看答案和解析>>

科目:高中数学 来源:2016届北京市朝阳区高三上学期期中统一考试文科数学试卷(解析版) 题型:解答题

中,角所对的边分别为.已知

(Ⅰ)若,求的面积;

(Ⅱ)求的取值范围.

查看答案和解析>>

科目:高中数学 来源:2015-2016学年河北省高一上学期期中考试理科数学试卷(解析版) 题型:填空题

若f(x)=(m-2)x2-3mx+1为偶函数,则它的单调递增区间是

查看答案和解析>>

科目:高中数学 来源:2016届湖南省高三上第三次月考文数学卷(解析版) 题型:填空题

已知函数,在定义域内有且只有一个零点,存在, 使得不等式成立.若是数列的前项和.设各项均不为零的数列中,所有满足的正整数的个数称为这个数列的变号数,令,则数列的变号数是

查看答案和解析>>

同步练习册答案