精英家教网 > 高中数学 > 题目详情

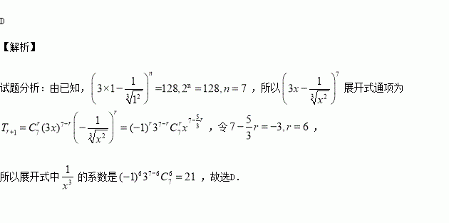
如果的展开式中各项系数之和为128,则展开式中的系数是( )

A.-7 B. 7 C.-21 D.21

练习册系列答案
相关习题

科目:高中数学 来源:2015-2016学年福建省高一6月月考数学试卷(解析版) 题型:选择题

函数处取得最小值,则( )

A.是奇函数 B.是奇函数

C.是偶函数 D.是偶函数

查看答案和解析>>

科目:高中数学 来源:2016届山西省等四校高三下第四次联考文科数学试卷(解析版) 题型:选择题

直线分别与曲线交于,则的最小值为( )

A.3 B.2 C. D.

查看答案和解析>>

科目:高中数学 来源:2016届山西省等四校高三下第四次联考理科数学试卷(解析版) 题型:解答题

在四棱锥中,底面是直角梯形,,平面⊥平面

(1)求证:⊥平面

(2)求平面与平面所成的锐二面角的大小.

查看答案和解析>>

科目:高中数学 来源:2016届山西省等四校高三下第四次联考理科数学试卷(解析版) 题型:选择题

已知函数,若对,均有,则的最小值为( )

A. B. C.-2 D.0

查看答案和解析>>

科目:高中数学 来源:2016届山西省等四校高三下第四次联考理科数学试卷(解析版) 题型:选择题

已知为实数,若复数为纯虚数,则的值为 ( )

A. B. C. D.

查看答案和解析>>

科目:高中数学 来源:2015-2016学年宁夏高一下第二次月考数学试卷(解析版) 题型:解答题

已知函数

(1)求的最小正周期.

(2)求在区间上的最小值.

查看答案和解析>>

科目:高中数学 来源:2015-2016学年四川省高二下期中文科数学试卷(解析版) 题型:解答题

已知椭圆的一个焦点为,且经过点.

(1)求椭圆的标准方程;

(2)已知,直线与椭圆交于两点,且

(ⅰ)若,求直线的方程;

(ⅱ)若,求点的轨迹方程.

查看答案和解析>>

科目:高中数学 来源:2015-2016学年四川省高二下期中理科数学试卷(解析版) 题型:选择题

双曲线的离心率为( )

A. B. C.2 D.

查看答案和解析>>

同步练习册答案