精英家教网 > 高中数学 > 题目详情

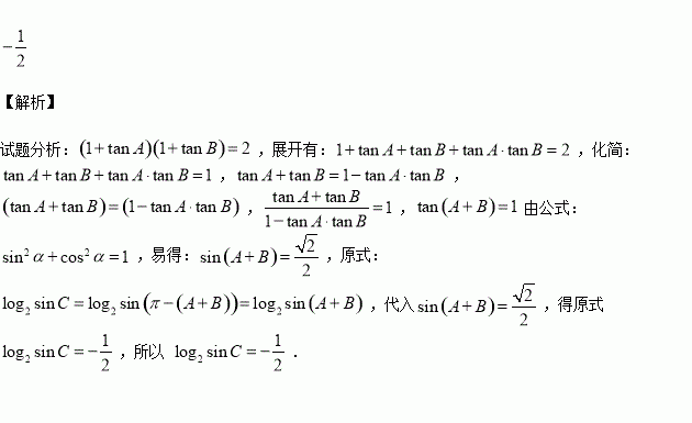
中, ,则=_________.

练习册系列答案
相关习题

科目:高中数学 来源:2013-2014学年辽宁省高考前最后模拟理科数学试卷(解析版) 题型:填空题

设某几何体的三视图如下(尺寸的长度单位为),则该几何体的体积为

查看答案和解析>>

科目:高中数学 来源:2016届河北省高三上第二次月考理科数学A卷(解析版) 题型:填空题

幂函数过点,则=

查看答案和解析>>

科目:高中数学 来源:2015-2016学年宁夏育才中学高二上期中考试理科数学试卷(解析版) 题型:解答题

(本小题满分12分)已知,若的充分而不必要条件,求实数的取值范围.

查看答案和解析>>

科目:高中数学 来源:2015-2016学年宁夏育才中学高二上期中考试理科数学试卷(解析版) 题型:选择题

方程表示的图形是( )

A.两条直线 B.两个点 C.四个点 D.四条直线

查看答案和解析>>

科目:高中数学 来源:2015-2016学年湖南师大附中高二上第一次段测文科数学卷(解析版) 题型:填空题

在等比数列中,,公比,若,则

查看答案和解析>>

科目:高中数学 来源:2015-2016学年河北省高一10月月考数学试卷(解析版) 题型:选择题

定义集合运算,设,则集合的真子集个数为( )

A.63 B.31 C.15 D.16

查看答案和解析>>

科目:高中数学 来源:2015-2016学年广东省高一10月月考数学试卷(解析版) 题型:选择题

设奇函数上为增函数,且,则不等式的解集为( )

A. B.

C. D.

查看答案和解析>>

科目:高中数学 来源:2016届辽宁省抚顺市高三10月月考文科数学试卷(解析版) 题型:选择题

已知函数,则不等式的解集为( )

A. B. C. D.

查看答案和解析>>

同步练习册答案