精英家教网 > 高中数学 > 题目详情

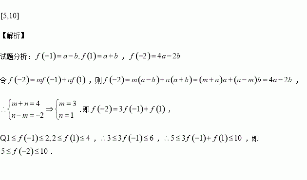
,则的范围是____________.

练习册系列答案
相关习题

科目:高中数学 来源:2016届西藏日喀则一中高三10月检测理科数学试卷(解析版) 题型:选择题

名优秀毕业生到母校的个班去作学习经验交流,则每个班至少去一名的不同分派方法种数为( )

A. B. C. D.

查看答案和解析>>

科目:高中数学 来源:2015-2016学年河北衡水冀州中学高二上期中文科数学B卷(解析版) 题型:填空题

若命题“”是假命题,则实数的取值范围是________.

查看答案和解析>>

科目:高中数学 来源:2016届四川省巴中市普通高中高三10月零诊考试文科数学试卷(解析版) 题型:填空题

已知双曲线的离心率为

查看答案和解析>>

科目:高中数学 来源:2016届四川省巴中市普通高中高三10月零诊考试理科数学试卷(解析版) 题型:选择题

如图所示,在直三棱柱ABC-A1B1C1中,BC=AC,AC1⊥A1B,M,N分别是A1B1,AB的中点,给出下列结论:①C1M⊥平面A1ABB1,②A1B⊥NB1 ,③平面AMC1//平面CNB1 , 其中正确结论的个数为 ( )

A.0 B.1 C.2 D.3

查看答案和解析>>

科目:高中数学 来源:2014-2015学年陕西省西安市高三上学期期中考试理科数学试卷(解析版) 题型:填空题

函数的导函数,那么数列的前项和是____________.

查看答案和解析>>

科目:高中数学 来源:2015-2016年重庆巴蜀中学高一上学期10月月考数学试卷(解析版) 题型:选择题

设集合A={x|1≤x≤2},B={y|1≤y≤4},则下述对应法则f中,不能构成A到B的映射的是( )

A、f:

B、

C、

D、

查看答案和解析>>

科目:高中数学 来源:2015-2016学年湖北武汉二中高二上学期期中文科数学试卷(解析版) 题型:选择题

,若,则( )

A. B. C. D.

查看答案和解析>>

科目:高中数学 来源:2014-2015学年海南省高三下学期大测三文科数学试卷(解析版) 题型:解答题

(本小题满分12分)在△ABC中,角A,B,C所对的边分别为a,b,c,且满足·=3.

(Ⅰ)求△ABC的面积;

(Ⅱ)若b+c=6,求a的值.

查看答案和解析>>

同步练习册答案