精英家教网 > 高中数学 > 题目详情

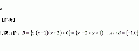
已知集合,集合( )

A. B. C. D.

练习册系列答案
相关习题

科目:高中数学 来源:2016届湖北武汉华中师大第一附中高三上期中考试理科数学试卷(解析版) 题型:选择题

设函数,若,使得同时成立,则的取值范围为( )

A. B.

C. D.

查看答案和解析>>

科目:高中数学 来源:2015-2016学年辽宁师范大学附属中学高二10月月考数学试卷(解析版) 题型:选择题

已知二次函数f(x)=ax2+2x+c(x∈R)的值域为[0,+∞),则的最小值为 ( )

A.4 B.4 C.8 D.8

查看答案和解析>>

科目:高中数学 来源:2015-2016学年江西省南昌市高二10月月考数学试卷(解析版) 题型:选择题

A. B. C. D.

查看答案和解析>>

科目:高中数学 来源:2015-2016学年吉林省长春市高一上学期期初考试文科数学试卷(解析版) 题型:解答题

(10分)已知函数

(1)求

(2)求的值;

(3)求的值

查看答案和解析>>

科目:高中数学 来源:2015-2016学年吉林省扶余市高一上学期第一次月考数学试卷(解析版) 题型:解答题

已知函数在其定义域时,

(1)求的值;

(2)讨论函数在其定义域上的单调性;

(3)解不等式

查看答案和解析>>

科目:高中数学 来源:2015-2016学年广东省普宁市高一上学期第一次月考数学试卷(解析版) 题型:解答题

(15分)如图是一个几何体的正视图和俯视图.

(1)试判断该几何体是什么几何体;

(2)画出其侧视图,并求该平面图形的面积.

查看答案和解析>>

科目:高中数学 来源:2015-2016学年广东省高二上学期第一次月考理科数学卷(解析版) 题型:解答题

(本小题满分14分)已知圆x2+y2+2ax-2ay+2a2-4a=0(0<a≤4)的圆心为C,直线l:y=x+m.

(1)若m=4,求直线l被圆C所截得弦长的最大值;

(2)若直线l是圆心下方的切线,当a在的变化时,求m的取值范围.

查看答案和解析>>

科目:高中数学 来源:2015-2016学年福建省分校高一上学期第一次月考数学卷(解析版) 题型:解答题

(本小题满分12分)已知f(x)=,x∈(0,+∞).

(1)若b≥1,求证:函数f(x)在(0,1)上是减函数;

(2)是否存在实数a,b,使f(x)同时满足下列两个条件:

①在(0,1)上是减函数,(1,+∞)上是增函数;

②f(x)的最小值是3.若存在,求出a,b的值;若不存在,请说明理由.

查看答案和解析>>

同步练习册答案