精英家教网 > 高中数学 > 题目详情
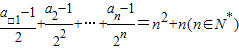
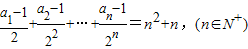
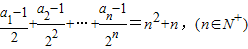
已知数列{an}满足
(I)求数列{an}的通项公式;
(II)求数列{an}的前n项和Sn
【答案】分析:(I)由,知=(n-1)2+n-1=n2-n(n≥2,n∈N+),由此能够得到数列{an}的通项公式.
(II)设bn=n•2n+1,其前n项和为Tn,则Tn=1×22+2×23+…+n×2n+1,由错位相减法能够得到Tn,从而能够得到数列{an}的前n项和Sn
解答:解:(I)∵
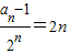
=(n-1)2+n-1=n2-n(n≥2,n∈N+),②
由①-②得:,∴an=n•2n+1+1,n≥2,n∈N+,③
在①中,令n=1,得a1=5,适合③式,∴an=n•2n+1+1,n∈N+
(II)设bn=n•2n+1,其前n项和为Tn,则:
Tn=1×22+2×23+…+n×2n+1,①
2Tn=1×23+2×24+…+n×2n+2,②
②-①,得Tn=-22-23-…-2n+1+n•2n+2
=(n-1)•2n+2+4.
∴Sn=Tn+n=(n-1)•2n+2+n+4.
点评:本题考查数列的通项公式和前n项和的求法,解题时要注意迭代法和错位相减法的合理运用.
练习册系列答案
相关习题

科目:高中数学 来源: 题型:

已知数列{an}满足:a1=1且an+1=
3+4an
12-4an
, n∈N*

(1)若数列{bn}满足:bn=
1
an-
1
2
(n∈N*)
,试证明数列bn-1是等比数列;
(2)求数列{anbn}的前n项和Sn
(3)数列{an-bn}是否存在最大项,如果存在求出,若不存在说明理由.

查看答案和解析>>

科目:高中数学 来源: 题型:

已知数列{an}满足
1
2
a1+
1
22
a2+
1
23
a3+…+
1
2n
an=2n+1
则{an}的通项公式
 

查看答案和解析>>

科目:高中数学 来源: 题型:

已知数列{an}满足:a1=
3
2
,且an=
3nan-1
2an-1+n-1
(n≥2,n∈N*).
(1)求数列{an}的通项公式;
(2)证明:对于一切正整数n,不等式a1•a2•…an<2•n!

查看答案和解析>>

科目:高中数学 来源: 题型:

已知数列{an}满足an+1=|an-1|(n∈N*
(1)若a1=
54
,求an
(2)若a1=a∈(k,k+1),(k∈N*),求{an}的前3k项的和S3k(用k,a表示)

查看答案和解析>>

科目:高中数学 来源: 题型:

(2012•北京模拟)已知数列{an}满足an+1=an+2,且a1=1,那么它的通项公式an等于
2n-1
2n-1

查看答案和解析>>

同步练习册答案