精英家教网 > 高中数学 > 题目详情
g(x)=ax--2f(x),其中f(x)=lnx,且g(e)=be--2(e为自然对数的底数).
(1)求a与b的关系;
(2)若g(x)在其定义域内为增函数,求a的取值范围;
(3)证明:①f(x)≤x-1;②++…(n∈N,n≥2).
【答案】分析:(1)由题意 可得结合可求a,b的关系
(2)由(1)知=,构造函数h(x)=ax2-2x+a.要使g(x)在(0,+∞)为增函数,只需h(x)在(0,+∞)满足:h(x)≥0恒成立即上恒成立,利用基本不等式可求得最大值,而得最大值
(3)证明:①即证:lnx-x+1≤0  (x>0),设k(x)=lnx-x-1,由导数可判断x=1为k(x)的极大值点,而k(x)≤k(1)可证,
②由①知lnx≤x-1,又x>0,可得令x=n2,得,从而可得,利用该不等式放缩可证
解答:解:(1)由题意
   



∴a=b
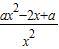
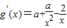
(2)由(1)知:由题意(x>0)
=
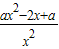
令h(x)=ax2-2x+a.要使g(x)在(0,+∞)为增函数,只需h(x)在(0,+∞)满足:
h(x)≥0恒成立.
即ax2-2x+a≥0
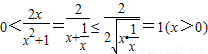
上恒成立
又0
所以a≥1
(3)证明:①即证:lnx-x+1≤0  (x>0),
设k(x)=lnx-x-1,则
当x∈(0,1)时,k′(x)>0,∴k(x)为单调递增函数;
当x∈(1,∞)时,k′(x)<0,∴k(x)为单调递减函数;
∴x=1为k(x)的极大值点,
∴k(x)≤k(1)=0.
即lnx-x+1≤0,∴lnx≤x-1.
②由①知lnx≤x-1,又x>0,

∵nn∈N*,n≥2,令x=n2,得


=
=
==
点评:本题主要考查了利用函数的导数判断函数的单调性、函数的极值的求解及利用放缩法证明不等式,还要注意裂项求和在解题中的应用,属于综合性试题
练习册系列答案
相关习题

科目:高中数学 来源: 题型:

奇函数f(x)和偶函数g(x)满足f(x)+g(x)=ax-2,且g(1)=
a2
,则f(2a)等于
 

查看答案和解析>>

科目:高中数学 来源: 题型:

(2011•丰台区二模)已知函数f(x)=x2-2x,g(x)=ax+2(a>0),若?x1∈[-1,2],?x2∈[-1,2],使得f(x1)=g(x2),则实数a的取值范围是(  )

查看答案和解析>>

科目:高中数学 来源: 题型:

已知函数f(x)=x2-2x,g(x)=ax+2(a>0)对任意的x1∈[-1,2]都存在x0∈[-1,2],使得g(x1)=f(x0)则实数a的取值范围是
(0,
1
2
]
(0,
1
2
]

查看答案和解析>>

科目:高中数学 来源: 题型:

已知函数f(x)=x2-2x,g(x)=ax+2,对任意的x1∈[-1,2],都存在x0∈[-1,2],使得g(x1)=f(x0),则实数a的取值范围是
[-1,
1
2
]
[-1,
1
2
]

查看答案和解析>>

科目:高中数学 来源: 题型:

已知函数f(x)=x2,x∈[-1,2],g(x)=ax+2,x∈[-1,2],若对任意x1∈[-1,2],总存在x2∈[-1,2],使f(x1)=g(x2)成立,则a的取值范围是
(-∞,-2]∪[2,+∞)
(-∞,-2]∪[2,+∞)

查看答案和解析>>

同步练习册答案