精英家教网 > 高中数学 > 题目详情

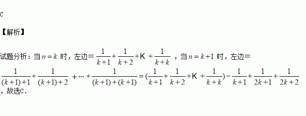
用数学归纳法证明不等的过程中,由递推到时,不等式左边( )

A.增加了一项

B.增加了一项

C.增加了,又减少了

D.增加了 ,又减少了

练习册系列答案
相关习题

科目:高中数学 来源:2015-2016学年湖北省等高二上学期期中联考文科数学试卷(解析版) 题型:解答题

(本题满分10分)

某工厂为了对新研发的一种产品进行合理定价,将该产品按事先拟定的价格进行试销,得到如下数据:

单价x(元)

8

8.2

8.4

8.6

8.8

9

销量y(件)

90

84

83

80

75

68

(1)求回归直线方程,其中

(2)预计在今后的销售中,销量与单价仍然服从(1)中的关系,且该产品的成本是3.5元/件,为使工厂获得最大利润,该产品的单价应定为多少元?(利润=销售收入-成本)

查看答案和解析>>

科目:高中数学 来源:2016届河北省高三上第五次月考理科数学试卷(解析版) 题型:选择题

下列四个函数中,既是定义域上的奇函数又在区间内单调递增的是( )

A. B. C. D.

查看答案和解析>>

科目:高中数学 来源:2016届河北省邯郸市高三一轮收官考试一理科数学试卷(解析版) 题型:选择题

的展开式中含有常数项,则的最小值等于( )

A. B. C. D.

查看答案和解析>>

科目:高中数学 来源:2016届甘肃省高三上第四次月考文科数学试卷(解析版) 题型:选择题

若非零向量满足,且,则的夹角为 ( )

A. B. C. D.

查看答案和解析>>

科目:高中数学 来源:2016届福建省高三上学期期中文科数学试卷(解析版) 题型:选择题

平行四边形中,交于点,M是的中点,若,则等于 ( )

A 、 B、 C、3 D、

查看答案和解析>>

科目:高中数学 来源:2016届福建省高三上学期期中理科数学试卷(解析版) 题型:选择题

如果在地平面同一直线上,,从两地测得点的仰角分别为,则点离地面的高等于( )

A、 B、 C、 D、

查看答案和解析>>

科目:高中数学 来源:2015-2016学年西藏日喀则一中高二12月文科数学试卷(解析版) 题型:选择题

命题“存在”的否定是( )

A.对任意的

B.存在

C.对任意的

D.不存在

查看答案和解析>>

科目:高中数学 来源:2015-2016学年江西省高二上期中理科数学卷(解析版) 题型:选择题

已知椭圆的左、右焦点分别为,且,若椭圆上存在点使得,则该椭圆离心率的取值范围为( )

A. B. C. D.

查看答案和解析>>

同步练习册答案