精英家教网 > 高中数学 > 题目详情

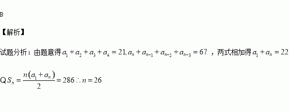
已知一个等差数列的前四项之和为21,末四项之和为67,前n项和为286,则项数n为( )

A.24 B.26 C.27 D.28

练习册系列答案
相关习题

科目:高中数学 来源:2016届宁夏吴忠中学高三上学期第四次月考理科数学试卷(解析版) 题型:解答题

设函数

(1)当时,求函数的定义域;

(2)若函数的定义域为,试求的取值范围.

查看答案和解析>>

科目:高中数学 来源:2015-2016学年辽宁师大附中高一上12月月考数学试卷(解析版) 题型:选择题

如图所示,若是长方体被平面截去几何体后得到的几何体,其中为线段上异于的点,为线段上异于的点,,则下列结论中不正确的是( )

A. B.四边形是矩形

C.是棱柱 D.是棱台

查看答案和解析>>

科目:高中数学 来源:2016届江苏省高三上学期第一次月考数学试卷(解析版) 题型:填空题

已知,则

查看答案和解析>>

科目:高中数学 来源:2015-2016学年山东省新泰市高二上学期期中考试理科数学试卷(解析版) 题型:解答题

设数列项和为,且

(Ⅰ)求数列的通项公式;

(Ⅱ)若数列满足 求证为等比数列,并求数列的通项公式;

(Ⅲ)设,求数列的前

查看答案和解析>>

科目:高中数学 来源:2015-2016学年河北省、永年二中高二上期中文科数学试卷(解析版) 题型:选择题

△ABC中,三边长满足,那么△ABC的形状为( )

A.锐角三角形 B.钝角三角形 C.直角三角形 D.以上均有可能

查看答案和解析>>

科目:高中数学 来源:2015-2016学年湖北省等四校高二上学期期中理科数学试卷(解析版) 题型:解答题

记事件A为“直线与圆相交”

(1)若将一颗骰子先后掷两次得到的点数分别记为,求事件A发生的概率

(2)若实数满足,求事件A发生的概率.

查看答案和解析>>

科目:高中数学 来源:2015-2016学年浙江省嘉兴市高二上12月月考数学卷(解析版) 题型:解答题

如图,的顶点的平分线所在直线方程为边上的高所在直线方程为

(1)求顶点的坐标;

(2)求的面积.

查看答案和解析>>

科目:高中数学 来源:2015-2016学年江苏省江阴市华士、成化、山观三校高二上期中数学卷(解析版) 题型:填空题

右焦点坐标是,且经过点的椭圆的标准方程为

查看答案和解析>>

同步练习册答案