精英家教网 > 高中数学 > 题目详情

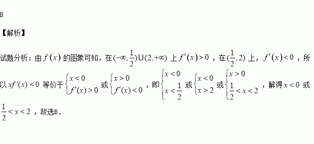
已知函数的图象如图所示,则不等式的解集为( )

A.(-∞,)∪(,2) B.(-∞,0)∪(,2)

C.(-∞,∪(,+∞) D.(-∞,)∪(2,+∞)

练习册系列答案
相关习题

科目:高中数学 来源:2015-2016学年广西柳州铁路一中高二上期末理科数学卷(解析版) 题型:填空题

数列的前n项和为,若,则 .

查看答案和解析>>

科目:高中数学 来源:2016年全国普通高等学校招生统一考试文科数学(山东卷精编版) 题型:解答题

某儿童乐园在“六一”儿童节推出了一项趣味活动.参加活动的儿童需转动如图所示的转盘两次,每次转动后,待转盘停止转动时,记录指针所指区域中的数.设两次记录的数分别为x,y.奖励规则如下:

①若,则奖励玩具一个;

②若,则奖励水杯一个;

③其余情况奖励饮料一瓶.

假设转盘质地均匀,四个区域划分均匀.小亮准备参加此项活动.

(Ⅰ)求小亮获得玩具的概率;

(Ⅱ)请比较小亮获得水杯与获得饮料的概率的大小,并说明理由.

查看答案和解析>>

科目:高中数学 来源:2015-2016学年湖北沙市高二下第六次半月考理数学卷(解析版) 题型:解答题

(1)如果存在使得成立,求满足上述条件的最大整数

(2)如果对于任意的,都有成立,求实数的取值范围.

查看答案和解析>>

科目:高中数学 来源:2015-2016学年湖北沙市高二下第六次半月考理数学卷(解析版) 题型:填空题

,则从小到大的顺序为 .

查看答案和解析>>

科目:高中数学 来源:2015-2016学年湖北沙市高二下第六次半月考理数学卷(解析版) 题型:选择题

已知命题,命题,若命题“”是真命题,则实数的取值范围是( )

A. B. C. D.

查看答案和解析>>

科目:高中数学 来源:2015-2016学年辽宁沈阳二中高二6月月考文科数学试卷(解析版) 题型:解答题

已知中,角的对边分别为,,向量,,且.

(Ⅰ)求的大小;

(Ⅱ)当取得最大值时,求角的大小和的面积.

查看答案和解析>>

科目:高中数学 来源:2015-2016学年辽宁沈阳二中高二6月月考文科数学试卷(解析版) 题型:选择题

设复数z满足=i,则|z|=( )

A.1 B. C. D.2

查看答案和解析>>

科目:高中数学 来源:2015-2016学年辽宁大连师大附中高一下6月月考数学试卷(解析版) 题型:选择题

若向量的夹角为,则( )

A. B. C. D.

查看答案和解析>>

同步练习册答案