精英家教网 > 高中数学 > 题目详情

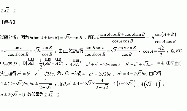
中,角的对边分别为,若边的中线长为1,则的最小值为 .

练习册系列答案
相关习题

科目:高中数学 来源:2016届吉林省高三第八次模拟考试理科数学试卷(解析版) 题型:解答题

中的内角所对的边长分别为,且.

(1)当时,求角的度数;

(2)求面积的最大值.

查看答案和解析>>

科目:高中数学 来源:2016届湖南省高三第十一次月考理科数学试卷(解析版) 题型:解答题

设函数,其中为实数.

(1)若上是单调减函数,且上有最小值,求的取值范围;

(2)若上是单调增函数,试求的零点个数,并证明你的结论.

查看答案和解析>>

科目:高中数学 来源:2016届湖南省高三第十一次月考理科数学试卷(解析版) 题型:选择题

已知函数是偶函数,则的值是( )

A.0 B. C. D.

查看答案和解析>>

科目:高中数学 来源:2016届黑龙江省高三下三模理科数学试卷(解析版) 题型:解答题

已知函数.

(1)当时,判断的单调性;

(2)若恒成立,求实数的取值集合.

查看答案和解析>>

科目:高中数学 来源:2016届黑龙江省高三下三模理科数学试卷(解析版) 题型:选择题

从抛物线的准线上一点引抛物线的两条切线为切点,若直线的倾斜角为,则点的纵坐标为( )

A. B. C. D.

查看答案和解析>>

科目:高中数学 来源:2016届黑龙江省高三下三模理科数学试卷(解析版) 题型:选择题

对于函数,命题“”是“是奇函数”的( )

A.充分非必要条件 B.必要非充分条件

C.充分必要条件 D.既非充分又非必要条件

查看答案和解析>>

科目:高中数学 来源:2016届海南省高考模拟九文科数学试卷(解析版) 题型:选择题

如图,中,的中点,以为圆心,为半径的半圆与交于点为半圆上任意一点,则的最小值为( )

A. B. C. D.

查看答案和解析>>

科目:高中数学 来源:2016届河南省商丘市高三三模理科数学试就(解析版) 题型:解答题

中,分别为内角的对边,且.

(I)求角的大小;

(II)设函数时,求边长.

查看答案和解析>>

同步练习册答案