精英家教网 > 高中数学 > 题目详情

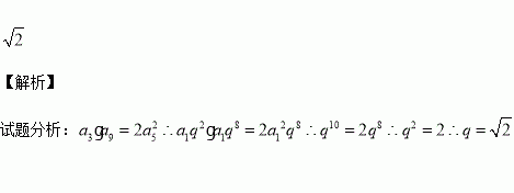
已知等比数列的公比为正数,且,则=

练习册系列答案
相关习题

科目:高中数学 来源:2016届黑龙江省牡丹江市高三上学期期中理科数学试卷(解析版) 题型:选择题

下列四个函数中,在区间上是增函数的是( )

A. B. C. D.

查看答案和解析>>

科目:高中数学 来源:2015-2016学年湖南省常德市高一上学期期中数学试卷(解析版) 题型:解答题

(共12分)已知函数,其中

(1)若,求满足的取值范围;

(2)求关于的不等式的解集.

查看答案和解析>>

科目:高中数学 来源:2015-2016学年福建省高一上学期期中数学试卷(解析版) 题型:填空题

设函数,对任意的 x1、x2(x1≠x2),考虑如下结论:

①f (x1·x2)=f (x1) + f (x2);

②f (x1 + x2)=f (x1)·f (x2);

③f (-x1)=

< 0 (x1 ≠ 0);

则上述结论中正确的是 .(只填入正确结论对应的序号)

查看答案和解析>>

科目:高中数学 来源:2015-2016学年江西省南昌市高一上学期期中考试数学试卷(解析版) 题型:选择题

,则的大小顺序为 ( )

A、 B、 C、 D、

查看答案和解析>>

科目:高中数学 来源:2015-2016学年甘肃省嘉峪关市高二上学期期中考试理科数学试卷(解析版) 题型:填空题

已知满足约束条件,且的最小值为6,则常数

查看答案和解析>>

科目:高中数学 来源:2016届浙江宁波效实中学高三上期中考试文科数学试卷(解析版) 题型:填空题

已知全集,集合,集合,则

查看答案和解析>>

科目:高中数学 来源:2016届山东省高三第二次诊断性考试理科数学试卷(解析版) 题型:选择题

设集合,则等于

A. B.

C. D.

查看答案和解析>>

科目:高中数学 来源:2015-2016学年福建省师大附高二上期中理科数学试卷(解析版) 题型:选择题

若关于方程的一个实根小于,另一个实根大于,则实数的取值范围是( )

A. B.

C. D.

查看答案和解析>>

同步练习册答案