精英家教网 > 高中数学 > 题目详情

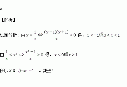
下列选项中,使不等式成立的x的取值范围是( )

A. B. C. D.

练习册系列答案
相关习题

科目:高中数学 来源:2015-2016学年江苏省泰州市姜堰区高二上学期期中考试理科数学试卷(解析版) 题型:填空题

若抛物线上一点M到焦点的距离为3,则点M到y轴的距离为

查看答案和解析>>

科目:高中数学 来源:2015-2016学年广东省高一上学期期中考试数学试卷(解析版) 题型:填空题

函数在[0,1]上的最大值与最小值的和为3,则

查看答案和解析>>

科目:高中数学 来源:2015-2016学年安徽省高一上学期第一次月考数学试卷(解析版) 题型:填空题

设函数=,则=

查看答案和解析>>

科目:高中数学 来源:2015-2016学年安徽省阜阳市高二上第一次调研考文科数学试卷(解析版) 题型:选择题

一个容量为的样本数据分组后组数与频数如下:[25,253),6;[253,256),4;[25 6,259),10;[259,262),8;[262,265),8;[265,268),4;则 样本在[25,25 9)上的频率为( )

A. B. C. D.

查看答案和解析>>

科目:高中数学 来源:2016届云南省高三上学期第一次月考理科数学试卷(解析版) 题型:选择题

三棱锥中,平面 ,则该三棱锥外接球的表面积为( )

A. B. C. D.

查看答案和解析>>

科目:高中数学 来源:2016届山东师大附中高三上学期二模文科数学试卷(解析版) 题型:选择题

”是“函数为实数集R上的奇函数”的( )

A.充分不必要条件

B.必要不充分条件

C.充要条件

D.既不充分又不必要条件

查看答案和解析>>

科目:高中数学 来源:2016届黑龙江哈尔滨六中高三上期中理科数学试卷(解析版) 题型:选择题

已知全集为,集合,则集合( )

A. B. C. D.

查看答案和解析>>

科目:高中数学 来源:2015-2016学年江苏省高一上期中考试数学试卷(解析版) 题型:填空题

,记函数的最小值是

查看答案和解析>>

同步练习册答案