精英家教网 > 高中数学 > 题目详情

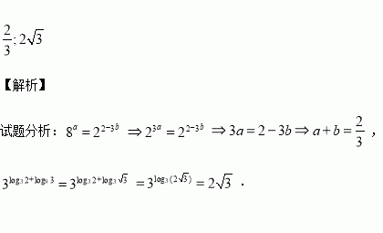
已知,若,则

练习册系列答案
相关习题

科目:高中数学 来源:2015-2016学年广东汕头市高一下学期期末数学试卷(解析版) 题型:选择题

已知,则有

A. B.

C. D.

查看答案和解析>>

科目:高中数学 来源:2017届甘肃武威二中高三上学期月考二数学(文)试卷(解析版) 题型:解答题

已知函数

(1)若,求函数上的最值;

(2)若函数的递减区间为,试探究函数在区间上的单调性.

查看答案和解析>>

科目:高中数学 来源:2017届甘肃武威二中高三上学期月考二数学(文)试卷(解析版) 题型:选择题

已知集合,则等于( )

A. B.

C. D.

查看答案和解析>>

科目:高中数学 来源:2016届浙江稽阳联谊学校高三4月联考数学(文)试卷(解析版) 题型:填空题

已知单位向量夹角为锐角,对的取值范围是,若向量满足,则的最小值为

查看答案和解析>>

科目:高中数学 来源:2016届浙江稽阳联谊学校高三4月联考数学(文)试卷(解析版) 题型:选择题

某四棱锥的三视图如图所示(单位:),则该几何体的体积是( )

A. B. C. D.

查看答案和解析>>

科目:高中数学 来源:2016届浙江稽阳联谊学校高三4月联考数学(理)试卷(解析版) 题型:解答题

如图,在三棱柱中,分别是线段上的点,且平面,侧面底面

(1)求证:平面

(2)求二面角的平面角的余弦值.

查看答案和解析>>

科目:高中数学 来源:2015-2016学年广东湛江一中高一下期末数学(理)试卷(解析版) 题型:填空题

sin75°cos30°﹣sin30°cos75°=

查看答案和解析>>

科目:高中数学 来源:2017届山东省高三第一次诊断数学(理)试卷(解析版) 题型:填空题

已知不等式组的最大值为

查看答案和解析>>

同步练习册答案