精英家教网 > 高中数学 > 题目详情

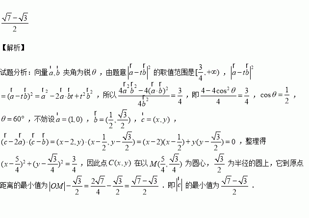
已知单位向量夹角为锐角,对的取值范围是,若向量满足,则的最小值为

练习册系列答案
相关习题

科目:高中数学 来源:2015-2016学年广东汕头市高一下学期期末数学试卷(解析版) 题型:选择题

已知,用表示不小于的最小整数,如,若,则的取值范围是( )

A. B. C. D.

查看答案和解析>>

科目:高中数学 来源:2017届河南新乡一中高三上学期周考9.18数学(文)试卷(解析版) 题型:选择题

设集合,若,则的取值范围是( )

A. B.

C. D.

查看答案和解析>>

科目:高中数学 来源:2017届甘肃武威二中高三上学期月考二数学(文)试卷(解析版) 题型:选择题

已知,则实数的大小关系为( )

A. B.

C. D.

查看答案和解析>>

科目:高中数学 来源:2016届浙江稽阳联谊学校高三4月联考数学(文)试卷(解析版) 题型:解答题

如图,过顶点在原点,对称轴为轴的抛物线上的定点作斜率分别为的直线,分别交抛物线两点.

(1)求抛物线的标准方程和准线方程;

(2)若,且的面积为,求直线的方程.

查看答案和解析>>

科目:高中数学 来源:2016届浙江稽阳联谊学校高三4月联考数学(文)试卷(解析版) 题型:填空题

已知,若,则

查看答案和解析>>

科目:高中数学 来源:2016届浙江稽阳联谊学校高三4月联考数学(文)试卷(解析版) 题型:选择题

”是“直线与直线平行”的( )

A.充分不必要条件 B.必要不充分条件

C.充要条件 D.既不充分也不必要

查看答案和解析>>

科目:高中数学 来源:2016届浙江稽阳联谊学校高三4月联考数学(理)试卷(解析版) 题型:选择题

已知实数满足:,则的最小值为( )

A.82 B.4 C. D.

查看答案和解析>>

科目:高中数学 来源:2017届山东省高三第一次诊断数学(理)试卷(解析版) 题型:解答题

如图,四棱锥的底面是边长为1的正方形,底面分别为的中点.

(1)求证:平面

(2)若,试问在线段上是否存在点,使得二面角的余弦值为?若存在,确定点的位置;若不存在,请说明理由.

查看答案和解析>>

同步练习册答案