精英家教网 > 高中数学 > 题目详情

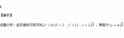
双曲线的焦距为( )

A. B. C. D.

练习册系列答案
相关习题

科目:高中数学 来源:2015-2016学年湖北省高一下期中数学试卷(解析版) 题型:选择题

在300米高的山顶上,测得山下一塔顶与塔底的俯角分别是30°,45°,则塔高为( )

A.(米) B.(米) C.(米) D.(米)

查看答案和解析>>

科目:高中数学 来源:2015-2016学年山东省淄博市高二4月月考文科数学试卷(解析版) 题型:选择题

若函数的一个正数零点附近的函数值用二分法逐次计算,参考数据如下表:

那么方程的一个近似根(精确度为0.05)为( )

A.1.275 B.1.375 C.1.415 D.1.5

查看答案和解析>>

科目:高中数学 来源:2015-2016学年福建省晋江市高二上学期期末文科数学试卷(解析版) 题型:填空题

设曲线在点(1,1)处的切线与x轴的交点的横坐标为,令的值为

查看答案和解析>>

科目:高中数学 来源:2015-2016学年福建省晋江市高二上学期期末文科数学试卷(解析版) 题型:选择题

已知函数在区间上是单调递增函数,则实数的最小值是( )

A. B. C. D.

查看答案和解析>>

科目:高中数学 来源:2015-2016学年福建省晋江市高二上学期期末理科数学试卷(解析版) 题型:解答题

(1)已知是不相等正常数,正数满足,求证,并指出等号成立的条件;

(2)求函数的最小值,指出取最小值时的值。

查看答案和解析>>

科目:高中数学 来源:2015-2016学年福建省晋江市高二上学期期末理科数学试卷(解析版) 题型:填空题

椭圆上横坐标为2的点到右焦点的距离为____ ____

查看答案和解析>>

科目:高中数学 来源:2015-2016学年辽宁省庄河市高一上学期期末考试数学试卷(解析版) 题型:解答题

已知集合

(1)若,求实数m的取值范围。

(2)若,且,求实数m的取值范围。

查看答案和解析>>

科目:高中数学 来源:2016年全国普通高等学校招生统一考试文科数学(全国2卷参考版) 题型:解答题

选修4-1:几何证明选讲

如图,在正方形中,分别在边上(不与端点重合),且,过点作,垂足为

(Ⅰ)证明:四点共圆;

(Ⅱ)若的中点,求四边形的面积.

查看答案和解析>>

同步练习册答案