精英家教网 > 高中数学 > 题目详情

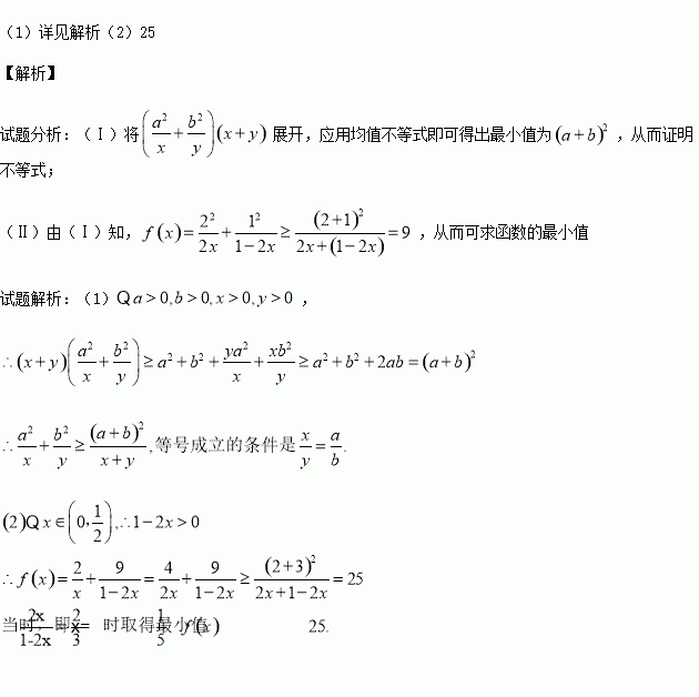
(1)已知是不相等正常数,正数满足,求证,并指出等号成立的条件;

(2)求函数的最小值,指出取最小值时的值。

练习册系列答案
相关习题

科目:高中数学 来源:2015-2016学年湖北省高一下期中数学试卷(解析版) 题型:选择题

等比数列各项均为正数,且,则=( )

A.8 B.10 C.15 D.20

查看答案和解析>>

科目:高中数学 来源:2015-2016学年山东省淄博市高二4月月考文科数学试卷(解析版) 题型:选择题

二次函数中,,则函数的零点个数是( )

A. 0个 B. 1个 C. 2个 D. 无法确定

查看答案和解析>>

科目:高中数学 来源:2015-2016学年福建省晋江市高二上学期期末文科数学试卷(解析版) 题型:选择题

已知函数,则 ( )

A. B. C. D.

查看答案和解析>>

科目:高中数学 来源:2015-2016学年福建省晋江市高二上学期期末文科数学试卷(解析版) 题型:选择题

双曲线的焦距为( )

A. B. C. D.

查看答案和解析>>

科目:高中数学 来源:2015-2016学年福建省晋江市高二上学期期末理科数学试卷(解析版) 题型:填空题

函数在区间上的平均变化率为

查看答案和解析>>

科目:高中数学 来源:2015-2016学年福建省晋江市高二上学期期末理科数学试卷(解析版) 题型:选择题

在空间直角坐标系中,点M的坐标是,则点M关于y轴的对称点坐标为( )

A. B. C. D.

查看答案和解析>>

科目:高中数学 来源:2015-2016学年辽宁省庄河市高一上学期期末考试数学试卷(解析版) 题型:填空题

已知函数

查看答案和解析>>

科目:高中数学 来源:2016年全国普通高等学校招生统一考试文科数学(全国2卷参考版) 题型:解答题

等差数列{}中,.

(Ⅰ)求{}的通项公式;

(Ⅱ)设,求数列的前10项和,其中表示不超过的最大整数,如[0.9]=0,[2.6]=2.

查看答案和解析>>

同步练习册答案