精英家教网 > 高中数学 > 题目详情

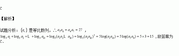
等比数列各项均为正数,且,则=( )

A.8 B.10 C.15 D.20

练习册系列答案
相关习题

科目:高中数学 来源:2015-2016学年重庆巴蜀中学高二下期中文科数学试卷(解析版) 题型:选择题

已知,若恒成立,则的取值范围是( )

A. B. C. D.

查看答案和解析>>

科目:高中数学 来源:2015-2016学年福建上杭一中高二下培优补差理科数学试卷(解析版) 题型:选择题

某人有5把钥匙,其中只有一把可以打开房门,他随意地进行试开,若试过的钥匙放在一旁,打开门时的次数为随机变量,则等于( )

A. B. C. D.

查看答案和解析>>

科目:高中数学 来源:2015-2016学年湖北省高一下期中数学试卷(解析版) 题型:填空题

中,已知,其面积为,则__________.

查看答案和解析>>

科目:高中数学 来源:2015-2016学年湖北省高一下期中数学试卷(解析版) 题型:选择题

在300米高的山顶上,测得山下一塔顶与塔底的俯角分别是30°,45°,则塔高为( )

A.(米) B.(米) C.(米) D.(米)

查看答案和解析>>

科目:高中数学 来源:2015-2016学年新疆兵团农二师华山中学高二下学前考试理科数学试卷(解析版) 题型:解答题

已知椭圆)右顶点与右焦点的距离为,短轴长为.

(I)求椭圆的方程;

(II)过左焦点的直线与椭圆分别交于两点,若三角形的面积为,求直线的方程.

查看答案和解析>>

科目:高中数学 来源:2015-2016学年新疆兵团农二师华山中学高二下学前考试理科数学试卷(解析版) 题型:填空题

若点和点分别为双曲线的中心和左焦点,点为双曲线右支上的任意一点,则的取值范围为__________

查看答案和解析>>

科目:高中数学 来源:2015-2016学年山东省淄博市高二4月月考文科数学试卷(解析版) 题型:解答题

函数是R上的偶函数,且当时,函数解析式为,

(Ⅰ)求的值;

(Ⅱ)求当时,函数的解析式。

查看答案和解析>>

科目:高中数学 来源:2015-2016学年福建省晋江市高二上学期期末理科数学试卷(解析版) 题型:解答题

(1)已知是不相等正常数,正数满足,求证,并指出等号成立的条件;

(2)求函数的最小值,指出取最小值时的值。

查看答案和解析>>

同步练习册答案