精英家教网 > 高中数学 > 题目详情

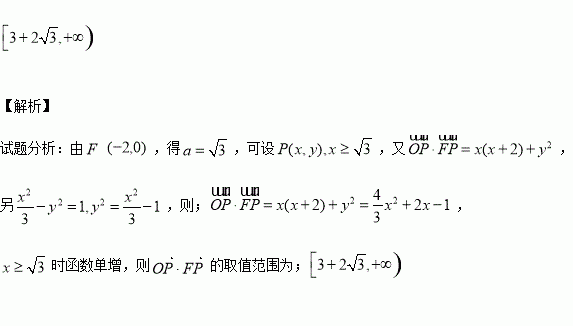
若点和点分别为双曲线的中心和左焦点,点为双曲线右支上的任意一点,则的取值范围为__________

练习册系列答案
相关习题

科目:高中数学 来源:2015-2016学年重庆巴蜀中学高二下期中理科数学试卷(解析版) 题型:解答题

已知正项数列的前项和为,且.

(1)求数列的通项公式;

(2)设为数列的前项和,证明:.

查看答案和解析>>

科目:高中数学 来源:2015-2016学年湖北省高一下期中数学试卷(解析版) 题型:解答题

某市人民广场立有一块巨大的电子显示屏,如图,为测量它的上下宽度(即AB的长度).一名学生站在如图C处测得A,B的仰角分别为60°,45°,从C点出发,沿着直线OC再前进20米到达D点,在D点测得A的仰角为30°.不考虑测角仪的高度和人的高度(即C,D视为测角仪所在的位置,E视为人的眼睛所在位置)

(1)求电子显示屏的上下宽度AB;

(2)该生站在E点观看电子显示屏,为保证观看节目的视觉效果最佳,即人的眼睛与A,B连线所成角最大,求O,E两点间的距离.(第二问结果保留一位小数,参考数据:

查看答案和解析>>

科目:高中数学 来源:2015-2016学年湖北省高一下期中数学试卷(解析版) 题型:选择题

等比数列各项均为正数,且,则=( )

A.8 B.10 C.15 D.20

查看答案和解析>>

科目:高中数学 来源:2015-2016学年新疆兵团农二师华山中学高二下学前考试理科数学试卷(解析版) 题型:解答题

了解某市今年初二年级男生的身体素质状况,从该市初二年级男生中抽取了一部分学生进行“掷实心球”的项目测试.成绩低于6米为不合格,成绩在6至8米(含6米不含8米)的为及格,成绩在8米至12米(含8米和12米,假定该市初二学生掷实心球均不超过12米)为优秀.把获得的所有数据,分成五组,画出的频率分布直方图如图所示.已知有4名学生的成绩在10米到12米之间.

(Ⅰ)求实数的值及参加“掷实心球”项目测试的人数;

(Ⅱ)根据此次测试成绩的结果,试估计从该市初二年级男生中任意选取一人,“掷实心球”成绩为优秀的概率;

(Ⅲ)若从此次测试成绩最好和最差的两组男生中随机抽取2 名学生再进行其它项目的测试,求所抽取的2名学生来自不同组的概率.

查看答案和解析>>

科目:高中数学 来源:2015-2016学年新疆兵团农二师华山中学高二下学前考试理科数学试卷(解析版) 题型:选择题

如图,ABCD—A1B1C1D1是正方体,B1E1=D1F1=,则BE1与DF1所成角的余弦值是( )

A. B. C. D.

查看答案和解析>>

科目:高中数学 来源:2015-2016学年新疆兵团农二师华山中学高二下学前考试理科数学试卷(解析版) 题型:选择题

某产品分甲、乙、丙三级,其中乙、丙两级均属次品,若生产中出现乙级品的概率为0.03,丙级品的概率为0.01,则对成品抽查一件抽得正品的概率为( )

A.0.99 B.0.98 C.0.97 D. 0.96

查看答案和解析>>

科目:高中数学 来源:2015-2016学年山东省淄博市高二4月月考文科数学试卷(解析版) 题型:选择题

二次函数中,,则函数的零点个数是( )

A. 0个 B. 1个 C. 2个 D. 无法确定

查看答案和解析>>

科目:高中数学 来源:2015-2016学年福建省晋江市高二上学期期末理科数学试卷(解析版) 题型:选择题

在空间直角坐标系中,点M的坐标是,则点M关于y轴的对称点坐标为( )

A. B. C. D.

查看答案和解析>>

同步练习册答案