精英家教网 > 高中数学 > 题目详情

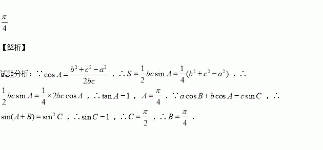
在△中,角所对的边分别为表示△的面积,若,则

练习册系列答案
相关习题

科目:高中数学 来源:2016届湖南省高三上第三次月考文数学卷(解析版) 题型:填空题

已知函数,则的值为

查看答案和解析>>

科目:高中数学 来源:2015-2016学年湖北孝感高中高二上学期期中文科数学试卷(解析版) 题型:解答题

设有关于x的一元二次方程

(1)若是从0,1,2,3四个数中任取的一个数,是从0,1,2三个数中任取的一个数,求上述方程有实根的概率.

(2)若是从区间任取得一个数,是从区间任取的一个数,求上述方程有实根的概率.

查看答案和解析>>

科目:高中数学 来源:2015-2016学年广东广州执信中学高一上学期期中数学试卷(解析版) 题型:解答题

已知函数

(1)判断并证明的奇偶性;

(2)求证:

(3)已知,且,求的值.

查看答案和解析>>

科目:高中数学 来源:2015-2016学年安徽省蚌埠市高一上学期期中数学试卷(解析版) 题型:填空题

已知幂函数,且图象不过原点,则

查看答案和解析>>

科目:高中数学 来源:2016届江西省高三上第三次考试理科数学试卷(解析版) 题型:解答题

已知函数

(Ⅰ)求函数y = f(x)的单调递增区间;

(Ⅱ)当x ∈ [0,] 时,函数 y = f(x)的最小值为 ,试确定常数a的值.

查看答案和解析>>

科目:高中数学 来源:2016届黑龙江牡丹江一中高三10月月考文数学试卷(解析版) 题型:选择题

已知定义域为的奇函数的导函数为,当

,则的大小关系是( )

A. B. C. D.

查看答案和解析>>

科目:高中数学 来源:2015-2016学年重庆市高一上学期期中数学试卷(解析版) 题型:选择题

已知函数在区间上单调递增,那么实数的取值范围是( )

A、 B、 C、 D、

查看答案和解析>>

科目:高中数学 来源:2015-2016学年河北省高一上学期期中数学试卷(解析版) 题型:选择题

已知集合,则=( )

A. B. C. D.

查看答案和解析>>

同步练习册答案