精英家教网 > 高中数学 > 题目详情

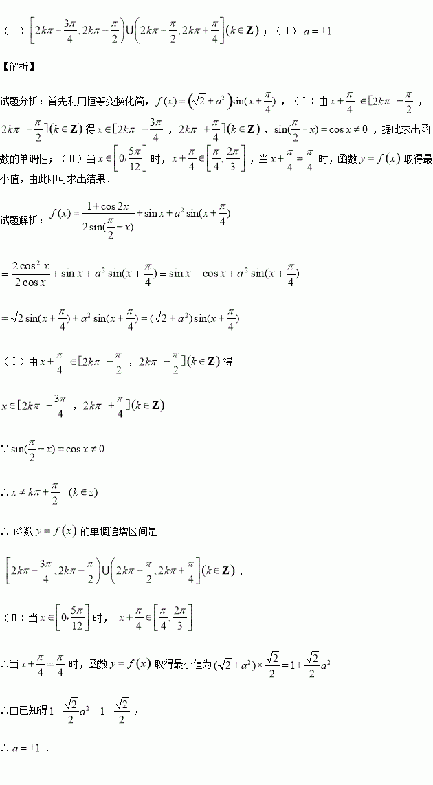
已知函数

(Ⅰ)求函数y = f(x)的单调递增区间;

(Ⅱ)当x ∈ [0,] 时,函数 y = f(x)的最小值为 ,试确定常数a的值.

练习册系列答案
相关习题

科目:高中数学 来源:2015-2016学年山西省高二上期中文科数学试卷(解析版) 题型:填空题

过原点且倾斜角为的直线被圆所截得弦长为__________.

查看答案和解析>>

科目:高中数学 来源:2015-2016学年湖北孝感高中高二上学期期中文科数学试卷(解析版) 题型:选择题

“事件A,B互斥”是“事件A,B对立”的

A.充分而不必要条件 B.必要而不充分条件

C.充要条件 D.既不充分也不必要条件

查看答案和解析>>

科目:高中数学 来源:2015-2016学年安徽省蚌埠市高一上学期期中数学试卷(解析版) 题型:解答题

已知函数).

(1)当时,分别画出函数的图象;

(2)若函数上的单调函数,求实数的取值范围.

查看答案和解析>>

科目:高中数学 来源:2016届宁夏吴忠中学高三上第四次月考文科数学试卷(解析版) 题型:填空题

在△中,角所对的边分别为表示△的面积,若,则

查看答案和解析>>

科目:高中数学 来源:2016届黑龙江牡丹江一中高三10月月考文数学试卷(解析版) 题型:解答题

已知函数是定义在上的奇函数,且时,

(1)求的解析式;

(2)当时,不等式恒成立,求实数的取值范围.

查看答案和解析>>

科目:高中数学 来源:2016届贵州省高三上学期第三次月考理科数学试卷(解析版) 题型:解答题

中,角所对的边为,且

(1)求角

(2)若,求的周长的最大值.

查看答案和解析>>

科目:高中数学 来源:2015-2016学年浙江慈溪中学高一1-3班上期中数学卷(解析版) 题型:填空题

定义在上的奇函数满足,则=

查看答案和解析>>

科目:高中数学 来源:2015-2016学年河北石家庄二中高一上学期期中数学试卷(解析版) 题型:选择题

已知,则( )

A、 B、 C、 D、

查看答案和解析>>

同步练习册答案