精英家教网 > 高中数学 > 题目详情

 (本小题12分)已知数列为首项为1的等差数列,其公差,且成等比数列.

(1)求的通项公式; 

(2)设,数列的前项和,求.

 

【答案】

(1)(2)

【解析】

试题分析:(1)由等比中项得,代入等差数列的通项公式,整理后可得,可求d=2,即可求得通项公式;(2)利用数列求和的裂项法求解即可.

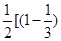
试题解析:(1)因为成等比数列,所以,整理得,因为,所以,因此

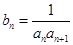
(2)==,所以=+()+()+…+==.

 

考点:1.等差数列的通项公式;2.等比数列的性质;3.求数列的前n项和.

 

练习册系列答案
相关习题

科目:高中数学 来源: 题型:

(本小题12分)已知,直线与函数的k*s#5^u图象都相切,且与函数的k*s#5^u图象的k*s#5^u切点的k*s#5^u横坐标为.

(Ⅰ)求直线的k*s#5^u方程及的k*s#5^u值;

(Ⅱ)若(其中的k*s#5^u导函数),求函数的k*s#5^u最大值;

(Ⅲ)当时,求证:.

查看答案和解析>>

科目:高中数学 来源:2011年四川省泸县二中高2013届春期重点班第一学月考试数学试题 题型:解答题

(本小题12分)已知等比数列中,
(1)求数列的通项公式;
(2)设等差数列中,,求数列的前项和.

查看答案和解析>>

科目:高中数学 来源:2011云南省潞西市高二上学期期末考试数学试卷 题型:解答题

(本小题12分)

已知顶点在原点,焦点在轴上的抛物线与直线交于P、Q两点,|PQ|=,求抛物线的方程

 

查看答案和解析>>

科目:高中数学 来源:2010年浙江省杭州市七校高二上学期期中考试数学文卷 题型:解答题

(本小题12分)

已知圆C:

(1)若直线且与圆C相切,求直线的方程.

(2)是否存在斜率为1直线,使直线被圆C截得弦AB,以AB为直径的圆经过原点O. 若存在,求

    出直线的方程;若不存在,说明理由.

 

查看答案和解析>>

科目:高中数学 来源:2012届山东省兖州市高二下学期期末考试数学(文) 题型:解答题

(本小题12分)已知函数

(1)       求这个函数的导数;

(2)       求这个函数的图像在点处的切线方程。

 

查看答案和解析>>

同步练习册答案