已知f(x)=x3+bx2+cx-b(b<0)在[-1,0]和[0,2]上有相反的单调性.
(Ⅰ)求c的值;
(Ⅱ)若f(x)的图象上在两点A(m,f(m))、B(n,f(n))处的切线都与y轴垂直,且函数f(x)在区间[m,n]上存在零点,求实数b的取值范围;
(Ⅲ)若函数f(x)在[0,2]和[4,5]上有相反的单调性,在f(x)的图象上是否存在一点M,使得f(x)在点M的切线斜率为2b?若存在,求出M点坐标;若不存在,请说明理由.
【答案】
分析:(I)由f(x)在[-1,0]和[0,2]上有相反的单调性,知x=0是f(x)的一个极值点,从而可得结论;
(II)确定A,B为f(x)的极值点,利用函数f(x)在区间[m,n]上存在零点,根据零点存在定理,即可求实数b的取值范围;
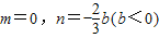
(III)先确定-6≤b≤-3,再假设存在点M(x
,y
)使得f(x)在M处切线斜率为2b,则f'(x
)=2b,由此可得结论.
解答:解:(Ⅰ)f'(x)=3x
2+2bx+c,…(1分)
由f(x)在[-1,0]和[0,2]上有相反的单调性,
知x=0是f(x)的一个极值点.…(2分)
∴f'(0)=0,得c=0.…(3分)
(Ⅱ)令f'(x)=0,得3x
2+2bx=0,∴

.…(4分)
∵f(x)的图象上在两点A(m,f(m))、B(n,f(n))处的切线都与y轴垂直,
∴A,B为f(x)的极值点.…(5分)
则

.…(6分)
又

若f(x)在[0,

]上存在零点.
∵f(0)=-b>0,
则

.…(7分)
∵b<0,∴

,∴

.…(8分)
(Ⅲ)由(Ⅱ),知由f'(x)=0,
得

.
∵f(x)在[0,2]和[4,5]上有相反的单调性,f'(x)在[0,2]和[4,5]上有相反的符号,…(9分)
∴

,
即-6≤b≤-3.…(10分)
假设存在点M(x
,y
)使得f(x)在M处切线斜率为2b,
则f'(x
)=2b,即3x
2+2bx
-2b=0,…(11分)
△=4b
2+24b=4(b
2+6b)=4(b+3)
2-3b,
∵-6≤b≤-3,∴-3b≤△≤0,…(12分)
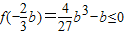
当b=-6时,△=0,
由

,
故存在这样点M,坐标为(2,-10).…(14分)
点评:本题考查导数知识的运用,考查函数零点,考查学生分析解决问题的能力,属于中档题.